Online Database of Chemicals from Around the World

(4Z,4'Z)-5,5'-[lambda2-Plumbanediylbis(Oxy)]Bis(6,6,7,7,8,8,8-Heptafluoro-2,2-Dimethyl-4-Octen-3-One)
[CAS# 21600-78-2]

Identification
Name (4Z,4'Z)-5,5'-[lambda2-Plumbanediylbis(Oxy)]Bis(6,6,7,7,8,8,8-Heptafluoro-2,2-Dimethyl-4-Octen-3-One)
Synonyms (4Z,4'Z)-5,5'-[λ2-Plumbandiylbis(oxy)]bis(6,6,7,7,8,8,8-heptafluor-2,2-dimethyloct-4-en-3-on); (4Z,4'Z)-5,5'-[λ2-plumbanediylbis(oxy)]bis(6,6,7,7,8,8,8-heptafluoro-2,2-dimethyloct-4-en-3-one)
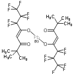
Molecular Structure CAS#: 21600-78-2, (4Z,4'Z)-5,5'-[lambda<Sup>2</Sup>-Plumbanediylbis(Oxy)]Bis(6,6,7,7,8,8,8-Heptafluoro-2,2-Dimethyl-4-Octen-3-One)
Molecular Formula C20H20F14O4Pb
Molecular Weight 797.55
CAS Registry Number 21600-78-2
SMILES CC(C)(C)C(=O)C=C(C(C(C(F)(F)F)(F)F)(F)F)O[Pb]OC(=CC(=O)C(C)(C)C)C(C(C(F)(F)F)(F)F)(F)F
InChI 1S/2C10H11F7O2.Pb/c2*1-7(2,3)5(18)4-6(19)8(11,12)9(13,14)10(15,16)17;/h2*4,19H,1-3H3;/q;;+2/p-2/b2*6-4-;
InChIKey MPJFQMBGGSNRCW-IHJILFKMSA-L
Properties
Refractive index (Cal.)
Market Analysis Reports
List of Reports Available for (4Z,4'Z)-5,5'-[lambda2-Plumbanediylbis(Oxy)]Bis(6,6,7,7,8,8,8-Heptafluoro-2,2-Dimethyl-4-Octen-3-One)
Related Products
[(E)-2-(4-Nitrophenyl)Vinyl]Boronic Acid  Di-2-Furylphosphine  1-(5-Bromo-4-Nitro-2-Thienyl)Ethanone  2-(4-Isocyanatophenyl)Pyrimidine  4-(4-Carboxyphenyl)-2-Pyridinecarboxylic...  4-(4-Isoquinolinyl)Benzoic Acid  4-(2-Methyl-6-Quinolinyl)Benzoic Acid  4-(8-Quinolinyl)Benzoic Acid  4-(3-Pyridazinyl)Benzoic Acid  4-(2-Pyrazinyl)Benzoic Acid  4-(6-Methyl-3-Pyridazinyl)Benzoic Acid  3-Methyl-4-(2-Pyrimidinyl)Aniline  (2-Oxido-1H-Pyrazol-1-Yl)(Oxo)Acetic Aci...  3-Hydroxy-17-Oxoandrost-5-En-7-Yl 3-Phen...  3-Hydroxy-17-Oxoandrost-5-En-7-Yl Propio...