Identification
| Name |
1-(2'-Deoxyribosyl)-2-Pyrimidinone |
| Synonyms |
1-[(2S,4S,5R)-4-Hydroxy-5-(Hydroxymethyl)Tetrahydrofuran-2-Yl]Pyrimidin-2-One; 1-[(2S,4S,5R)-4-Hydroxy-5-(Hydroxymethyl)-2-Tetrahydrofuranyl]-2-Pyrimidinone; 1-[(2S,4S,5R)-4-Hydroxy-5-Methylol-Tetrahydrofuran-2-Yl]Pyrimidin-2-One |
|
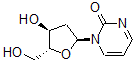
| Molecular Structure |
 |
| Molecular Formula |
C9H12N2O4 |
| Molecular Weight |
212.20 |
| CAS Registry Number |
22003-30-1 |
| SMILES |
[C@H]2(N1C(N=CC=C1)=O)O[C@@H]([C@@H](O)C2)CO |
| InChI |
1S/C9H12N2O4/c12-5-7-6(13)4-8(15-7)11-3-1-2-10-9(11)14/h1-3,6-8,12-13H,4-5H2/t6-,7+,8-/m0/s1 |
| InChIKey |
QEJOIGZDWKFVCO-RNJXMRFFSA-N |
|