Identification
| Name |
Bacitracin F |
| Synonyms |
5-[[1-[[[3-(2-Amino-2-Oxoethyl)-18-(3-Aminopropyl)-6-(Carboxymethyl)-9-(3H-Imidazol-4-Ylmethyl)-2,5,8,11,14,17,20-Heptaoxo-12-(Phenylmethyl)-15-Sec-Butyl-1,4,7,10,13,16,19-Heptazacyclopentacos-21-Yl]Amino]-Oxomethyl]-2-Methylbutyl]Amino]-4-[[4-Methyl-2-[[[2-(2-Methyl-1-Oxobutyl)-4-Thiazolyl]-Oxomethyl]Amino]-1-Oxopentyl]Amino]-5-Oxopentanoic Acid; 5-[[1-[[3-(2-Amino-2-Keto-Ethyl)-18-(3-Aminopropyl)-12-(Benzyl)-6-(Carboxymethyl)-9-(3H-Imidazol-4-Ylmethyl)-2,5,8,11,14,17,20-Heptaketo-15-Sec-Butyl-1,4,7,10,13,16,19-Heptazacyclopentacos-21-Yl]Carbamoyl]-2-Methyl-Butyl]Amino]-5-Keto-4-[[4-Methyl-2-[[2-(2-Methylbutanoyl)Thiazole-4-Carbonyl]Amino]Pentanoyl]Amino]Valeric Acid; 5-[[1-[[3-(2-Amino-2-Oxo-Ethyl)-18-(3-Aminopropyl)-6-(Carboxymethyl)-9-(3H-Imidazol-4-Ylmethyl)-2,5,8,11,14,17,20-Heptaoxo-12-(Phenylmethyl)-15-Sec-Butyl-1,4,7,10,13,16,19-Heptazacyclopentacos-21-Yl]Carbamoyl]-2-Methyl-Butyl]Amino]-4-[[4-Methyl-2-[[2-(2-Methylbutanoyl)Thiazole-4-Carbonyl]Amino]Pentanoyl]Amino]-5-Oxo-Pentanoic Acid |
|
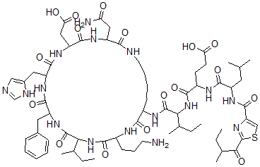
| Molecular Structure |
 |
| Molecular Formula |
C66H98N16O17S |
| Molecular Weight |
1419.66 |
| CAS Registry Number |
22601-63-4 |
| SMILES |
C1=C(N=C(S1)C(=O)C(CC)C)C(=O)NC(C(=O)NC(C(=O)NC(C(=O)NC2C(=O)NC(C(=O)NC(C(=O)NC(C(=O)NC(C(=O)NC(C(=O)NC(C(=O)NCCCC2)CC(=O)N)CC(=O)O)CC3=CN=C[NH]3)CC4=CC=CC=C4)C(CC)C)CCCN)C(CC)C)CCC(=O)O)CC(C)C |
| InChI |
1S/C66H98N16O17S/c1-9-35(6)52(82-58(92)42(22-23-50(84)85)73-59(93)43(26-34(4)5)75-63(97)48-32-100-66(80-48)54(88)37(8)11-3)64(98)74-40-20-15-16-25-70-55(89)46(29-49(68)83)77-62(96)47(30-51(86)87)78-61(95)45(28-39-31-69-33-71-39)76-60(94)44(27-38-18-13-12-14-19-38)79-65(99)53(36(7)10-2)81-57(91)41(21-17-24-67)72-56(40)90/h12-14,18-19,31-37,40-47,52-53H,9-11,15-17,20-30,67H2,1-8H3,(H2,68,83)(H,69,71)(H,70,89)(H,72,90)(H,73,93)(H,74,98)(H,75,97)(H,76,94)(H,77,96)(H,78,95)(H,79,99)(H,81,91)(H,82,92)(H,84,85)(H,86,87) |
| InChIKey |
FCLQHQCOKGKLHR-UHFFFAOYSA-N |
|