Online Database of Chemicals from Around the World

D-Arginyl-D-Prolyl-L-Arginyl-L-Leucyl-D-Seryl-L-Histidyl-D-Lysylglycyl-L-Prolyl-D-Methionyl-L-Prolyl-D-Phenylalanine
[CAS# 229961-08-4]

Suppliers
Alfa Chemistry USA Inquire  
+1 (201) 478-8534
inquiry@alfa-chemistry.com
Chemical distributor since 2012
chemBlink standard supplier since 2012
Interchim Inc. USA Inquire  
+1 (800) 560-8262
web@interchiminc.com
Chemical manufacturer
International Laboratory Limited USA Inquire  
+1 (650) 278-9963
admin@intlab.org
Chemical manufacturer since 2002
Identification
Name D-Arginyl-D-Prolyl-L-Arginyl-L-Leucyl-D-Seryl-L-Histidyl-D-Lysylglycyl-L-Prolyl-D-Methionyl-L-Prolyl-D-Phenylalanine
Synonyms Apelin 12 (human, bovine, mouse, rat); D-Arginyl-D-prolyl-L-arginyl-L-leucyl-D-seryl-L-histidyl-D-lysylglycyl-L-prolyl-D-methionyl-L-prolyl-D-phenylalanin; D-Arginyl-D-prolyl-L-arginyl-L-leucyl-D-seryl-L-histidyl-D-lysylglycyl-L-prolyl-D-methionyl-L-prolyl-D-phenylalanine
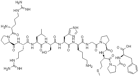
Molecular Structure CAS#: 229961-08-4, D-Arginyl-D-Prolyl-L-Arginyl-L-Leucyl-D-Seryl-L-Histidyl-D-Lysylglycyl-L-Prolyl-D-Methionyl-L-Prolyl-D-Phenylalanine
Molecular Formula C64H103N21O14S
Molecular Weight 1422.70
CAS Registry Number 229961-08-4
SMILES CC(C)C[C@@H](C(=O)N[C@H](CO)C(=O)N[C@@H](Cc1cnc[nH]1)C(=O)N[C@H](CCCCN)C(=O)NCC(=O)N2CCC[C@H]2C(=O)N[C@H](CCSC)C(=O)N3CCC[C@H]3C(=O)N[C@H](Cc4ccccc4)C(=O)O)NC(=O)[C@H](CCCNC(=N)N)NC(=O)[C@H]5CCCN5C(=O)[C@@H](CCCNC(=N)N)N
InChI 1S/C64H103N21O14S/c1-37(2)30-44(79-53(89)42(18-10-25-73-64(69)70)77-58(94)49-20-12-27-84(49)60(96)40(66)16-9-24-72-63(67)68)54(90)82-47(35-86)56(92)80-45(32-39-33-71-36-75-39)55(91)76-41(17-7-8-23-65)52(88)74-34-51(87)83-26-11-19-48(83)57(93)78-43(22-29-100-3)61(97)85-28-13-21-50(85)59(95)81-46(62(98)99)31-38-14-5-4-6-15-38/h4-6,14-15,33,36-37,40-50,86H,7-13,16-32,34-35,65-66H2,1-3H3,(H,71,75)(H,74,88)(H,76,91)(H,77,94)(H,78,93)(H,79,89)(H,80,92)(H,81,95)(H,82,90)(H,98,99)(H4,67,68,72)(H4,69,70,73)/t40-,41-,42+,43-,44+,45+,46-,47-,48+,49-,50+/m1/s1
InChIKey KIODTAJAFBDDGP-DGDQILBASA-N
Properties
Density 1.5±0.1g/cm3 (Cal.)
Refractive index 1.686 (Cal.)
Safety Data
SDS Available
Market Analysis Reports
List of Reports Available for D-Arginyl-D-Prolyl-L-Arginyl-L-Leucyl-D-Seryl-L-Histidyl-D-Lysylglycyl-L-Prolyl-D-Methionyl-L-Prolyl-D-Phenylalanine
Related Products
(4-Methoxy-2-Nitrophenyl)Methanol  (1R,2R,3R,4S,5R)-4-Amino-5-Methyl-1,2,3-...  N-Methyl-N-({[(2-Methyl-2-Propanyl)Oxy]C...  1-(2-Methoxyethoxy)-2,5-Pyrrolidinedione  (2,5-Dimethylphenyl)(4-Methoxyphenyl)Met...  Ethyl 2-(2-Furoyl)-3-Oxobutanoate  N-Methoxy-N-Methyl-2-Thiophenecarboxamid...  2,8,10-Trioxatricyclo[5.2.1.1<Sup>3,9</S...  3-Carboxy-8-Hydroxy-2,3-Dihydro[1,3]Thia...  3-Carboxy-5-Methyl-2,3-Dihydro[1,3]Thiaz...  N-Methyl-1-(Tetrahydro-2H-Pyran-2-Yl)Met...  Methyl 2,3,6-Tri-O-Methyl-alpha-D-Glucop...  2-Methyl-1,3-Oxazole  Methyl 4-Methyl-1,3-Oxazole-5-Carboxylat...  (3S,4S)-1,1,2,2,3,4-Hexafluorocyclobutan...