Identification
| Name |
1-Butoxypropan-2-Yl 2-(2,4,5-Trichlorophenoxy)Propanoate |
| Synonyms |
(2-Butoxy-1-Methyl-Ethyl) 2-(2,4,5-Trichlorophenoxy)Propanoate; 2-(2,4,5-Trichlorophenoxy)Propanoic Acid (2-Butoxy-1-Methylethyl) Ester; 2-(2,4,5-Trichlorophenoxy)Propionic Acid (2-Butoxy-1-Methyl-Ethyl) Ester |
|
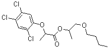
| Molecular Structure |
 |
| Molecular Formula |
C16H21Cl3O4 |
| Molecular Weight |
383.70 |
| CAS Registry Number |
2317-24-0 |
| SMILES |
C1=C(C(=CC(=C1Cl)Cl)Cl)OC(C(OC(COCCCC)C)=O)C |
| InChI |
1S/C16H21Cl3O4/c1-4-5-6-21-9-10(2)22-16(20)11(3)23-15-8-13(18)12(17)7-14(15)19/h7-8,10-11H,4-6,9H2,1-3H3 |
| InChIKey |
FMFKNGWZEQOWNK-UHFFFAOYSA-N |
|