Online Database of Chemicals from Around the World

(4E)-5-(5-Ethoxy-3-Pyridinyl)-N-Methyl-4-Penten-2-Amine
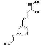
[CAS# 252870-59-0]

Suppliers
Atomax Chemicals Co., Ltd. China Inquire  
+86 13417589054//+86 13424336463
info@atomaxchem.com,atomax.chemicals@gmail.com,
QQ Chat
Chemical manufacturer
Identification
Name (4E)-5-(5-Ethoxy-3-Pyridinyl)-N-Methyl-4-Penten-2-Amine
Synonyms (E)-5-(5-ethoxypyridin-3-yl)-N-methylpent-4-en-2-amine
Molecular Structure CAS#: 252870-59-0, (4E)-5-(5-Ethoxy-3-Pyridinyl)-N-Methyl-4-Penten-2-Amine
Molecular Formula C13H20N2O
Molecular Weight 220.31
CAS Registry Number 252870-59-0
SMILES O(c1cc(cnc1)/C=C/CC(NC)C)CC
InChI 1S/C13H20N2O/c1-4-16-13-8-12(9-15-10-13)7-5-6-11(2)14-3/h5,7-11,14H,4,6H2,1-3H3/b7-5+
InChIKey KJZMFQZAEDAMAE-FNORWQNLSA-N
Properties
Density 0.989g/cm3 (Cal.)
Boiling point 355.282°C at 760 mmHg (Cal.)
Flash point 168.669°C (Cal.)
Refractive index 1.531 (Cal.)
Market Analysis Reports
List of Reports Available for (4E)-5-(5-Ethoxy-3-Pyridinyl)-N-Methyl-4-Penten-2-Amine
Related Products
3-Phenoxybenzenesulfonyl Chloride  1-(Dimethylamino)-4-Methyl-3-Pentanone  1,2-Dimethyl-2,5-Cyclohexadiene-1-Carbox...  1-(3-Methoxyphenyl)Prop-2-Yn-1-One  N-[4-(Cyanoacetyl)Phenyl]Acetamide  2-Ethoxy-5-(2-Methyl-2-Propanyl)Benzenes...  Ethyl 5-Amino-1-(2-Phenylethyl)Pyrazole-...  5,6-Dideoxy-3-O-[Dimethyl(2-Methyl-2-Pro...  1,1,1,2,2,3,3,4,4,5,5,6,6,7,7-Pentadecaf...  N-Cyclopentylacetamide  Methyl 3-(Chloromethyl)-5-(2-Methyl-2-Pr...  3-[3-(Chloromethyl)-1,2,4-Oxadiazol-5-Yl...  N-[2-(2-Aminoethylamino)Ethyl]Ethane-1,2...  (3R,4R)-4-(Ethoxycarbonyl)-1-{[(2-Methyl...  Ethyl 3-(3-Aminophenyl)Isonicotinate