Online Database of Chemicals from Around the World

5-(4-{2-[(5-Hydroxy-2-Pyridinyl)(Methyl)Amino]Ethoxy}Benzyl)-1,3-Thiazolidine-2,4-Dione
[CAS# 257883-22-0]

Suppliers
Alfa Chemistry USA Inquire  
+1 (201) 478-8534
inquiry@alfa-chemistry.com
Chemical distributor since 2012
chemBlink standard supplier since 2012
Alsachim SAS France Inquire  
+33 (368) 240-080
contact@alsachim.com
Chemical manufacturer
CacheSyn Inc. Canada Inquire  
+1 (416) 996-8186
info@cachesyn.com
Chemical manufacturer
International Laboratory Limited USA Inquire  
+1 (650) 278-9963
admin@intlab.org
Chemical manufacturer since 2002
Santa Cruz Biotechnology, Inc. USA Inquire  
+1 (831) 457-3800
scbt@scbt.com
Chemical manufacturer
Identification
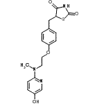
Name 5-(4-{2-[(5-Hydroxy-2-Pyridinyl)(Methyl)Amino]Ethoxy}Benzyl)-1,3-Thiazolidine-2,4-Dione
Synonyms 5-Hydroxy Rosiglitazone
Molecular Structure CAS#: 257883-22-0, 5-(4-{2-[(5-Hydroxy-2-Pyridinyl)(Methyl)Amino]Ethoxy}Benzyl)-1,3-Thiazolidine-2,4-Dione
Molecular Formula C18H19N3O4S
Molecular Weight 373.43
CAS Registry Number 257883-22-0
SMILES O=C1NC(=O)SC1Cc3ccc(OCCN(c2ncc(O)cc2)C)cc3
InChI 1S/C18H19N3O4S/c1-21(16-7-4-13(22)11-19-16)8-9-25-14-5-2-12(3-6-14)10-15-17(23)20-18(24)26-15/h2-7,11,15,22H,8-10H2,1H3,(H,20,23,24)
InChIKey AGQGGZNSVNKGDU-UHFFFAOYSA-N
Properties
Density 1.383g/cm3 (Cal.)
Boiling point 684.254°C at 760 mmHg (Cal.)
Flash point 367.624°C (Cal.)
Refractive index 1.662 (Cal.)
Market Analysis Reports
List of Reports Available for 5-(4-{2-[(5-Hydroxy-2-Pyridinyl)(Methyl)Amino]Ethoxy}Benzyl)-1,3-Thiazolidine-2,4-Dione
Related Products
Ethyl 3-Oxo-2-Oxetanecarboxylate  N-[(9H-Fluoren-9-Ylmethoxy)Carbonyl]-O-T...  (3-Ethoxy-4-Isopropylidene-1,1-Cyclopent...  5-{4-[2-(2-Pyridinylamino)Ethoxy]Benzyl}...  N-(3,5-Dichloro-4-Pyridinyl)-2-[1-(4-Flu...  (3S,5Z,7E,14xi,22E)-9,10-Secoergosta-5,7...  3-Methoxy-4,5,6,7-Tetrahydro-1,2-Benzoxa...  3-Methoxy-6,7-Dihydro-1,2-Benzoxazol-4(5...  3-Methoxy-5,6-Dihydro-1,2-Benzoxazol-7(4...  7-Chloro-N,N-Diethyl-4-Nitro-2,1,3-Benzo...  7-Chloro-4-Nitro-5-(1-Piperidinyl)-2,1,3...  8-Phenyl-4,5-Dihydro[1,2,5]Oxadiazolo[3,...  4-Amino-5,5-Dimethyl-2-Phenyl-2,5-Dihydr...  2-Hydroxybicyclo[3.2.1]Octane-6-Carboxyl...  2-Methyl-2-Propanyl (3-Bromo-4-Pyridinyl...