Identification
| Name |
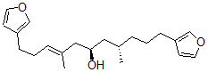
(E,6R,8S)-1,11-Di(Furan-3-Yl)-4,8-Dimethylundec-3-En-6-Ol |
| Synonyms |
(E,6R,8S)-1,11-Bis(3-Furyl)-4,8-Dimethyl-Undec-3-En-6-Ol; (E,6R,8S)-1,11-Bis(3-Furyl)-4,8-Dimethylundec-3-En-6-Ol; (E,6R,8S)-1,11-Di(Furan-3-Yl)-4,8-Dimethyl-Undec-3-En-6-Ol |
|
| Molecular Structure |
 |
| Molecular Formula |
C21H30O3 |
| Molecular Weight |
330.47 |
| CAS Registry Number |
35075-74-2 |
| SMILES |
[C@H](C/C(=C/CCC1=COC=C1)C)(C[C@H](CCCC2=COC=C2)C)O |
| InChI |
1S/C21H30O3/c1-17(5-3-7-19-9-11-23-15-19)13-21(22)14-18(2)6-4-8-20-10-12-24-16-20/h5,9-12,15-16,18,21-22H,3-4,6-8,13-14H2,1-2H3/b17-5+/t18-,21-/m0/s1 |
| InChIKey |
SFDYMPBPKHWFDV-MQPQBDNESA-N |
|