Online Database of Chemicals from Around the World

Methyl 6,7,10,11-Tetrakis[(Trimethylsilyl)Oxy]Octadecanoate
[CAS# 35508-15-7]

Suppliers
Achemica Switzerland Inquire  
+41 (24) 466-2929
contact@achemica.com
Chemical manufacturer since 2010
Identification
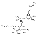
Name Methyl 6,7,10,11-Tetrakis[(Trimethylsilyl)Oxy]Octadecanoate
Synonyms Methyl 6,7,10,11-tetrakis[(trimethylsilyl)oxy]octadecanoate #
Molecular Structure CAS#: 35508-15-7, Methyl 6,7,10,11-Tetrakis[(Trimethylsilyl)Oxy]Octadecanoate
Molecular Formula C31H70O6Si4
Molecular Weight 651.23
CAS Registry Number 35508-15-7
SMILES O=C(OC)CCCCC(O[Si](C)(C)C)C(O[Si](C)(C)C)CCC(O[Si](C)(C)C)C(O[Si](C)(C)C)CCCCCCC
InChI 1S/C31H70O6Si4/c1-15-16-17-18-19-22-27(34-38(3,4)5)29(36-40(9,10)11)25-26-30(37-41(12,13)14)28(35-39(6,7)8)23-20-21-24-31(32)33-2/h27-30H,15-26H2,1-14H3
InChIKey IJMCCERLZNCXKB-UHFFFAOYSA-N
Properties
Density 0.913g/cm3 (Cal.)
Boiling point 545.829°C at 760 mmHg (Cal.)
Flash point 235.809°C (Cal.)
Market Analysis Reports
List of Reports Available for Methyl 6,7,10,11-Tetrakis[(Trimethylsilyl)Oxy]Octadecanoate
Related Products
Methyl 8,9,15,16-Tetrakis[(Trimethylsily...  (1S,2R)-1-Ethynyl-2-Methoxycyclopentanol  [(2S,3R)-2-Isopropyl-4-Oxo-Azetidin-3-Yl...  2-Ethyl-1-(2-Methyl-2-Propen-1-Yl)-1H-Py...  3-Ethyl-1-(2-Methyl-2-Propen-1-Yl)-1H-Py...  6-Methyl-5,6-dihydroindolizine  5-Methyl-5,6-dihydroindolizine  (1S,5R,8S)-5,8-Dihydroxy-6-Oxa-3-Azabicy...  (2S,3R,4R,5R)-5-Methyl-2,3,4-Piperidinet...  (4R,5R)-5-Methyl-3,3,4-Piperidinetriol  4-(4-Methoxyphenyl)-1H-Imidazole  1-Amino-2-Hydroxy-5-Oxooctahydro-1-Penta...  Spiro[7-Azabicyclo[2.2.1]Heptane-2,2'-[1...  N-[(2-Methoxy-1-Naphthyl)Methyl]-2-Pheny...  2-(5H-Tetrazol-5-Yl)Pyridine