Online Database of Chemicals from Around the World

Direct Brown 101
[CAS# 3626-29-7]

Suppliers
Alfa Chemistry USA Inquire  
+1 (201) 478-8534
inquiry@alfa-chemistry.com
Chemical distributor since 2012
chemBlink standard supplier since 2012
BOC Sciences USA Inquire  
+1 (631) 485-4226
info@bocsci.com
Skype Chat
Chemical distributor
chemBlink massive supplier since 2012
International Laboratory Limited USA Inquire  
+1 (650) 278-9963
admin@intlab.org
Chemical manufacturer since 2002
Identification
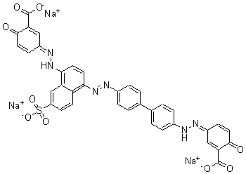
Name Direct Brown 101
Synonyms Trisodium (3E)-3-[[4-[4-[4-[(N'z)-N'-(3-Carboxylato-4-Oxo-1-Cyclohexa-2,5-Dienylidene)Hydrazino]Phenyl]Phenyl]Azo-7-Sulfonato-1-Naphthyl]Hydrazono]-6-Oxo-Cyclohexa-1,4-Diene-1-Carboxylate; Trisodium (3E)-3-[[4-[4-[4-[(N'z)-N'-(3-Carboxylato-4-Oxo-1-Cyclohexa-2,5-Dienylidene)Hydrazino]Phenyl]Phenyl]Azo-7-Sulfonato-1-Naphthyl]Hydrazono]-6-Oxo-1-Cyclohexa-1,4-Dienecarboxylate; Trisodium (3E)-3-[[4-[4-[4-[(N'z)-N'-(3-Carboxylato-4-Keto-1-Cyclohexa-2,5-Dienylidene)Hydrazino]Phenyl]Phenyl]Azo-7-Sulfonato-1-Naphthyl]Hydrazono]-6-Keto-Cyclohexa-1,4-Diene-1-Carboxylate
Molecular Structure CAS#: 3626-29-7, Direct Brown 101
Molecular Formula C36H21N6Na3O9S
Molecular Weight 782.63
CAS Registry Number 3626-29-7
SMILES C4=C([S]([O-])(=O)=O)C=CC5=C(N=NC3=CC=C(C2=CC=C(N\N=C1/C=C(C(=O)C=C1)C([O-])=O)C=C2)C=C3)C=CC(=C45)N\N=C6\C=C(C(=O)C=C6)C([O-])=O.[Na+].[Na+].[Na+]
InChI 1S/C36H24N6O9S.3Na/c43-33-15-9-24(17-29(33)35(45)46)39-37-22-5-1-20(2-6-22)21-3-7-23(8-4-21)38-41-31-13-14-32(28-19-26(52(49,50)51)11-12-27(28)31)42-40-25-10-16-34(44)30(18-25)36(47)48;;;/h1-19,37,42H,(H,45,46)(H,47,48)(H,49,50,51);;;/q;3*+1/p-3/b39-24-,40-25+,41-38?;;;
InChIKey UTUYNZFEXDDZMA-BEBWUMNOSA-K
Market Analysis Reports
List of Reports Available for Direct Brown 101
Related Products
1-(4-Methoxyphenyl)-1-Cyclohexanecarboni...  Acid Brown 2  Coenzyme A-S-Octadecanoate  3,4,5-Trimethoxy-alpha-Methyl-Benzenemet...  Hexadiline  N-[2-(Cyanomethyl)Phenyl]-Acetamide  4-(2,4-Di-Tert-Amylphenoxy)Butyronitrile  4-(Methanesulfonylamino)Benzonitrile  4-((2,4-Dihydroxyphenyl)azo)-5-hydroxyna...  (Benzylphenylamino)Acetonitrile  3-Cyclopropoxy-4-Difluoromethoxy-Benzald...  Chloranilic Acid Sodium Salt  1-Methyl-4-Phenylpiperidine-4-Carbonitri...  3-(4-Morpholinyl)-2-Butenoic Acid Ethyl ...  1-Cyclohexenecarbonyl Chloride