Online Database of Chemicals from Around the World

[(2R,3S,4R,5R)-3,4-Dihydroxy-5-(9H-Imidazo[2,1-f]Purin-6-Ium-3-Yl)Oxolan-2-Yl]Methyl [[(2S,3R,4R)-5-(7,8-Dimethyl-2,4-Dioxobenzo[g]Pteridin-10-Yl)-2,3,4-Trihydroxypentoxy]-Hydroxyphosphoryl] Hydrogen Phosphate Chloride
[CAS# 38628-24-9]

Suppliers
CAS#: 38628-24-9
Product: [(2R,3S,4R,5R)-3,4-Dihydroxy-5-(9H-Imidazo[2,1-f]Purin-6-Ium-3-Yl)Oxolan-2-Yl]Methyl [[(2S,3R,4R)-5-(7,8-Dimethyl-2,4-Dioxobenzo[g]Pteridin-10-Yl)-2,3,4-Trihydroxypentoxy]-Hydroxyphosphoryl] Hydrogen Phosphate Chloride
No suppilers available for the product.
Identification
Name [(2R,3S,4R,5R)-3,4-Dihydroxy-5-(9H-Imidazo[2,1-f]Purin-6-Ium-3-Yl)Oxolan-2-Yl]Methyl [[(2S,3R,4R)-5-(7,8-Dimethyl-2,4-Dioxobenzo[g]Pteridin-10-Yl)-2,3,4-Trihydroxypentoxy]-Hydroxyphosphoryl] Hydrogen Phosphate Chloride
Synonyms [(2R,3S,4R,5R)-3,4-Dihydroxy-5-(9H-Imidazo[2,1-F]Purin-6-Ium-3-Yl)Tetrahydrofuran-2-Yl]Methyl [[(2S,3R,4R)-5-(7,8-Dimethyl-2,4-Dioxo-Benzo[G]Pteridin-10-Yl)-2,3,4-Trihydroxy-Pentoxy]-Hydroxy-Phosphoryl] Hydrogen Phosphate Chloride; [(2R,3S,4R,5R)-3,4-Dihydroxy-5-(9H-Imidazo[2,1-F]Purin-6-Ium-3-Yl)-2-Tetrahydrofuranyl]Methyl [[(2S,3R,4R)-5-(7,8-Dimethyl-2,4-Dioxo-10-Benzo[G]Pteridinyl)-2,3,4-Trihydroxypentoxy]-Hydroxyphosphoryl] Hydrogen Phosphate Chloride; [(2R,3S,4R,5R)-3,4-Dihydroxy-5-(9H-Imidazo[2,1-F]Purin-6-Ium-3-Yl)Tetrahydrofuran-2-Yl]Methyl [[(2S,3R,4R)-5-(2,4-Diketo-7,8-Dimethyl-Benzo[G]Pteridin-10-Yl)-2,3,4-Trihydroxy-Pentoxy]-Hydroxy-Phosphoryl] Hydrogen Phosphate Chloride
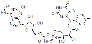
Molecular Structure CAS#: 38628-24-9, [(2R,3S,4R,5R)-3,4-Dihydroxy-5-(9H-Imidazo[2,1-f]Purin-6-Ium-3-Yl)Oxolan-2-Yl]Methyl [[(2S,3R,4R)-5-(7,8-Dimethyl-2,4-Dioxobenzo[g]Pteridin-10-Yl)-2,3,4-Trihydroxypentoxy]-Hydroxyphosphoryl] Hydrogen Phosphate Chloride
Molecular Formula C29H34ClN9O15P2
Molecular Weight 846.04
CAS Registry Number 38628-24-9
SMILES [C@@H]1(O)[C@H](O)[C@H](O[C@H]1[N]2C3=C(N=C2)C4=[N+](C=N3)C=C[NH]4)CO[P](O[P](OC[C@H](O)[C@H](O)[C@H](O)CN5C7=C(N=C6C5=NC(=O)NC6=O)C=C(C(=C7)C)C)(O)=O)(O)=O.[Cl-]
InChI 1S/C29H33N9O15P2.ClH/c1-12-5-14-15(6-13(12)2)37(26-20(33-14)27(44)35-29(45)34-26)7-16(39)21(41)17(40)8-50-54(46,47)53-55(48,49)51-9-18-22(42)23(43)28(52-18)38-11-31-19-24-30-3-4-36(24)10-32-25(19)38;/h3-6,10-11,16-18,21-23,28,39-43H,7-9H2,1-2H3,(H3,35,44,45,46,47,48,49);1H/t16-,17+,18-,21-,22-,23-,28-;/m1./s1
InChIKey JLWOWKGKKFQUID-ZBMPBUKJSA-N
Market Analysis Reports
List of Reports Available for [(2R,3S,4R,5R)-3,4-Dihydroxy-5-(9H-Imidazo[2,1-f]Purin-6-Ium-3-Yl)Oxolan-2-Yl]Methyl [[(2S,3R,4R)-5-(7,8-Dimethyl-2,4-Dioxobenzo[g]Pteridin-10-Yl)-2,3,4-Trihydroxypentoxy]-Hydroxyphosphoryl] Hydrogen Phosphate Chloride
Related Products
2-[2-(4-Bromophenyl)Sulfonylhydrazinyl]-...  (2S,3S,4S,5R,6S)-6-[4-(2-Aminoethyl)-2-H...  [(2R,3R,4R,5R,6R)-3-Acetamido-4-Hydroxy-...  [2-[(11S,17R)-11,17-Dihydroxy-10,13-Dime...  4-[4-[Bis(2-Chloroethyl)Amino]Phenoxy]-N...  (5R)-5-[(3R,5S,7R,8R,9S,10S,13R,14S,17R)...  [4-(4,6-Dimethylheptan-2-Yl)Phenyl] Diph...  5'-Inosinic acid, homopolymer, complex w...  1-(2,2-Dimethylpropyl)Naphthalene  1-(2-Chloronaphthalen-1-Yl)-N-(2,6-Dimet...  1-(Chloromethyl)Benzimidazole  Piperidin-2-Yl-[2-(Trifluoromethyl)Phena...  N-[3-(1-Adamantylamino)Propyl]-4-Amino-2...  1-[4-[2-Hydroxy-3-(Propan-2-Ylamino)Prop...  1-[4-[3-(Tert-Butylamino)-2-Hydroxypropo...