Online Database of Chemicals from Around the World

N-Ethyl-N-(1-Ethyl-4-Piperidinyl)-N',N'-Dimethyl-1,2-Ethanediamine
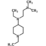
[CAS# 416864-82-9]

Suppliers
Atomax Chemicals Co., Ltd. China Inquire  
+86 13417589054//+86 13424336463
info@atomaxchem.com,atomax.chemicals@gmail.com,
QQ Chat
Chemical manufacturer
ChemBridge Corporation USA Inquire  
+1 (858) 451-7400
sales@chembridge.com
Chemical manufacturer
Identification
Name N-Ethyl-N-(1-Ethyl-4-Piperidinyl)-N',N'-Dimethyl-1,2-Ethanediamine
Synonyms N1-ethyl-N1-(1-ethylpiperidin-4-yl)-N2,N2-dimethylethane-1,2-diamine; N-ethyl-N-(1-ethyl-4-piperidinyl)-N',N'-dimethyl-1,2-ethanediamine
Molecular Structure CAS#: 416864-82-9, N-Ethyl-N-(1-Ethyl-4-Piperidinyl)-N',N'-Dimethyl-1,2-Ethanediamine
Molecular Formula C13H29N3
Molecular Weight 227.39
CAS Registry Number 416864-82-9
SMILES N(C1CCN(CC)CC1)(CC)CCN(C)C
InChI 1S/C13H29N3/c1-5-15-9-7-13(8-10-15)16(6-2)12-11-14(3)4/h13H,5-12H2,1-4H3
InChIKey SNYRJEUOPLTRKK-UHFFFAOYSA-N
Properties
Density 0.929g/cm3 (Cal.)
Boiling point 276.175°C at 760 mmHg (Cal.)
Flash point 104.899°C (Cal.)
Refractive index 1.499 (Cal.)
Market Analysis Reports
List of Reports Available for N-Ethyl-N-(1-Ethyl-4-Piperidinyl)-N',N'-Dimethyl-1,2-Ethanediamine
Related Products
N-(Cyclohexylmethyl)-3,4-Dimethoxyanilin...  1-Ethyl-4-(1-Methyl-4-Piperidinyl)Pipera...  1-Methyl-N-(4-Pyridinylmethyl)-4-Piperid...  N-Cycloheptyl-1-Ethyl-4-Piperidinamine  4-(1-Ethyl-4-Piperidinyl)-1-Piperazineca...  N-(2,3-Dimethoxybenzyl)Cycloheptanamine  1-Ethyl-4-(Tetrahydro-3-Thiophenyl)Piper...  1-Ethyl-N-(3-Methoxypropyl)-4-Piperidina...  5-Chloro-1-Methyl-1H-Benzimidazol-7-Amin...  4-[(2-Hydroxyethyl)Sulfonyl]-2-Nitrophen...  2-[5-(4-Bromophenyl)-1H-Pyrazol-3-Yl]Phe...  4-{[(Z)-(2,4-Dioxo-3-Pyrrolidinylidene)M...  1-[2-(2-Bromophenoxy)Ethyl]-1H-Imidazole  (4-Chloro-5-Methyl-2-Nitrophenoxy)Acetic...  1-[5-Methyl-3-(Trifluoromethyl)-1H-Pyraz...