Online Database of Chemicals from Around the World

Parathyroid Hormone (3-34)
[CAS# 51257-86-4]

Suppliers
Creative Peptides USA Inquire  
+1 (631) 624-4882
info@creative-peptides.com
Chemical manufacturer
chemBlink massive supplier since 2016
International Laboratory Limited USA Inquire  
+1 (650) 278-9963
admin@intlab.org
Chemical manufacturer since 2002
Identification
Name Parathyroid Hormone (3-34)
Synonyms Bpth (3-34); Hpth (3-34); L-Phenylalanine, L-Seryl-L-Alpha-Glutamyl-L-Isoleucyl-L-Glutaminyl-L-Phenylalanyl-L-Methionyl-L-Histidyl-L-Asparaginyl-L-Leucylglycyl-L-Lysyl-L-Histidyl-L-Leucyl-L-Seryl-L-Seryl-L-Methionyl-L-Alpha-Glutamyl-L-Arginyl-L-Valyl-L-Alpha-Glutamyl-L-Tryptophyl-L-Leucyl-L-Arginyl-L-Lysyl-L-Lysyl-L-Leucyl-L-Glutaminyl-L-Alpha-Aspartyl-L-Valyl-L-Histidyl-L-Asparaginyl-
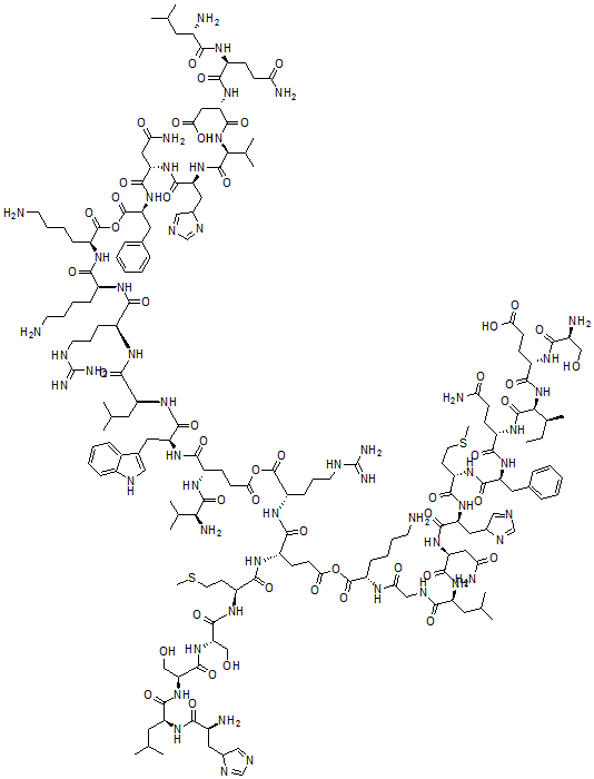
Molecular Structure CAS#: 51257-86-4, Parathyroid Hormone (3-34)
Molecular Formula C175H274N52O48S2
Molecular Weight 3938.53
CAS Registry Number 51257-86-4
SMILES [C@H](C(=O)OC([C@@H](NC([C@@H](NC([C@@H](NC([C@@H](NC([C@@H](NC([C@@H](NC([C@@H](N)C(C)C)=O)CCC(=O)OC([C@@H](NC([C@@H](NC([C@@H](NC([C@@H](NC([C@@H](NC([C@@H](NC([C@@H](N)CC1C=NC=N1)=O)CC(C)C)=O)CO)=O)CO)=O)CCSC)=O)CCC(=O)OC([C@@H](NC(CNC([C@@H](NC([C@@H](NC([C@@H](NC([C@@H](NC([C@@H](NC([C@@H](NC([C@@H](NC([C@@H](NC([C@@H](N)CO)=O)CCC(=O)O)=O)[C@H](CC)C)=O)CCC(=O)N)=O)CC2=CC=CC=C2)=O)CCSC)=O)CC3C=NC=N3)=O)CC(=O)N)=O)CC(C)C)=O)=O)CCCCN)=O)=O)CCCNC(=N)N)=O)=O)CC4=C[NH]C5=CC=CC=C45)=O)CC(C)C)=O)CCCNC(=N)N)=O)CCCCN)=O)CCCCN)=O)(NC([C@@H](NC([C@@H](NC([C@@H](NC([C@@H](NC([C@@H](NC([C@@H](N)CC(C)C)=O)CCC(=O)N)=O)CC(=O)O)=O)C(C)C)=O)CC6C=NC=N6)=O)CC(=O)N)=O)CC7=CC=CC=C7
InChI 1S/C175H274N52O48S2/c1-17-94(14)142(227-155(254)110(47-52-136(236)237)203-145(244)104(181)82-228)169(268)210-109(46-51-132(183)232)151(250)216-121(68-95-34-20-18-21-35-95)158(257)207-114(56-63-277-16)154(253)218-123(72-99-79-192-86-199-99)160(259)219-125(74-133(184)233)162(261)214-118(65-89(4)5)146(245)197-81-135(235)201-115(41-27-30-58-177)170(269)273-138(240)53-48-111(206-153(252)113(55-62-276-15)208-165(264)129(83-229)225-166(265)130(84-230)224-157(256)119(66-90(6)7)213-144(243)103(180)71-98-78-191-85-198-98)149(248)212-117(44-33-61-195-175(189)190)171(270)274-139(241)54-49-112(209-167(266)140(186)92(10)11)152(251)217-122(70-97-77-196-105-39-25-24-38-101(97)105)159(258)215-120(67-91(8)9)156(255)205-107(43-32-60-194-174(187)188)147(246)204-106(40-26-29-57-176)148(247)211-116(42-28-31-59-178)172(271)275-173(272)128(69-96-36-22-19-23-37-96)223-163(262)126(75-134(185)234)220-161(260)124(73-100-80-193-87-200-100)222-168(267)141(93(12)13)226-164(263)127(76-137(238)239)221-150(249)108(45-50-131(182)231)202-143(242)102(179)64-88(2)3/h18-25,34-39,77-80,85-94,98-100,102-104,106-130,140-142,196,228-230H,17,26-33,40-76,81-84,176-181,186H2,1-16H3,(H2,182,231)(H2,183,232)(H2,184,233)(H2,185,234)(H,197,245)(H,201,235)(H,202,242)(H,203,244)(H,204,246)(H,205,255)(H,206,252)(H,207,257)(H,208,264)(H,209,266)(H,210,268)(H,211,247)(H,212,248)(H,213,243)(H,214,261)(H,215,258)(H,216,250)(H,217,251)(H,218,253)(H,219,259)(H,220,260)(H,221,249)(H,222,267)(H,223,262)(H,224,256)(H,225,265)(H,226,263)(H,227,254)(H,236,237)(H,238,239)(H4,187,188,194)(H4,189,190,195)/t94-,98?,99?,100?,102-,103-,104-,106-,107-,108-,109-,110-,111-,112-,113-,114-,115-,116-,117-,118-,119-,120-,121-,122-,123-,124-,125-,126-,127-,128-,129-,130-,140-,141-,142-/m0/s1
InChIKey QFVODVAZJVCZIQ-INNSVFCQSA-N
Protein Sequence H-Ser-Glu-Ile-Gln-Phe-Met-His-Asn-Leu-Gly-Lys-His-Leu-Ser-Ser-Met-Glu-Arg-Val-Glu-Trp-Leu-Arg-Lys-Lys-Leu-Gln-Asp-Val-His-Asn-Phe-OH
Market Analysis Reports
List of Reports Available for Parathyroid Hormone (3-34)
Related Products
N-[(3-Chloro-4-Methoxy-Phenyl)Methoxy]Ac...  2-Chloro-N-((3-Chloro-2-Butenyl)Oxy)Acet...  11-beta,21-Dihydroxypregna-1,4,17(20)-Tr...  7,7-Dimethyl-Tricyclo[2.2.1.02,6]Heptane...  (-)-1,7-Dimethyl-7-(4-Methyl-3-Pentenyl)...  Hexahydro-1-(2-Pyridyl)-2H-Azepin-2-One  N-(4-(9-Acridinylamino)-2-methoxyphenyl)...  4-Formylphenoxyacetic Acid Ethyl Ester  Ethyl 2-(4-Formylphenoxy)Propionate  2-(4-Formyl-Phenoxy)-Propionic Acid  1,1'-(1,3-Phenylene)Bis[3-Methylpyrrolid...  Xylosucrose  Norethindrone-4beta,5beta-Epoxide  Levonorgestrel-4beta,5beta-Epoxide  Listerine