Online Database of Chemicals from Around the World

3-[[2-(1-Naphtylacetyl)Hydrazono]Methyl]Rifamycin
[CAS# 51707-04-1]

Suppliers
CAS#: 51707-04-1
Product: 3-[[2-(1-Naphtylacetyl)Hydrazono]Methyl]Rifamycin
No suppilers available for the product.
Identification
Name 3-[[2-(1-Naphtylacetyl)Hydrazono]Methyl]Rifamycin
Synonyms Brn 5403262
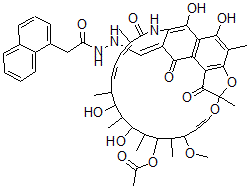
Molecular Structure CAS#: 51707-04-1, 3-[[2-(1-Naphtylacetyl)Hydrazono]Methyl]Rifamycin
Molecular Formula C50H57N3O13
Molecular Weight 908.01
CAS Registry Number 51707-04-1
SMILES C6=C(CC(=O)NN/C=C2/C(=O)C1=C3C(=C(C4=C1C(=O)C(O/C=C/C(OC)C(C(OC(=O)C)C(C(O)C(C(O)C(C)\C=C\C=C(C(=O)NC2=C3O)\C)C)C)C)(O4)C)C)O)C5=CC=CC=C5C=C6
InChI 1S/C50H57N3O13/c1-24-14-12-15-25(2)49(62)52-40-34(23-51-53-36(55)22-32-18-13-17-31-16-10-11-19-33(31)32)44(59)37-38(45(40)60)43(58)29(6)47-39(37)48(61)50(8,66-47)64-21-20-35(63-9)26(3)46(65-30(7)54)28(5)42(57)27(4)41(24)56/h10-21,23-24,26-28,35,41-42,46,51,56-58,60H,22H2,1-9H3,(H,52,62)(H,53,55)/b14-12+,21-20+,25-15-,34-23+
InChIKey RBWQLWQXAHLGFA-VJXXSDPMSA-N
Market Analysis Reports
List of Reports Available for 3-[[2-(1-Naphtylacetyl)Hydrazono]Methyl]Rifamycin
Related Products
Diphenyl[alpha-[2-(Dimethylamino)Ethyl]B...  Diphenyl[alpha-[2-(Diethylamino)Ethyl]Be...  Diphenyl[alpha-[2-(1-Pyrrolidinyl)Ethyl]...  Diphenyl[alpha-(2-Piperidinoethyl)Benzyl...  Diphenyl[alpha-(2-Morpholinoethyl)Benzyl...  Diphenyl[alpha-[2-(Dimethylamino)-1-Meth...  7-Chloro-N-methyl-N-nitroso-5-phenyl-3H-...  N,N,N',N'-Tetramethyl-1,6-Hexanediamine  2,2,4,4,5,5,7,7-Octamethyloctane  5-Phenyl-1H-1,2,3-Triazole-4-Carbaldehyd...  Cyclamiretin A  (20S)-3beta,16alpha,28-Trihydroxyolean-1...  Trichothecene  2-(Tripropylsilyl)Ethanethiol  4-Oxo-1,4-Dihydrobenzo[h]Quinoline-3-Car...