Online Database of Chemicals from Around the World

N2-[N2-[N-[N-[N-[N-[N2-[1-(2,4-Dinitrophenyl)-L-Prolyl]-L-Glutaminyl]Glycyl]-L-Isoleucyl]-L-Alanyl]Glycyl]-L-Glutaminyl]-D-Arginine
[CAS# 63014-08-4]

Suppliers
Alfa Chemistry USA Inquire  
+1 (201) 478-8534
inquiry@alfa-chemistry.com
Chemical distributor since 2012
chemBlink standard supplier since 2012
BOC Sciences USA Inquire  
+1 (631) 485-4226
info@bocsci.com
Skype Chat
Chemical distributor
chemBlink massive supplier since 2012
Creative Peptides USA Inquire  
+1 (631) 624-4882
info@creative-peptides.com
Chemical manufacturer
chemBlink massive supplier since 2016
International Laboratory Limited USA Inquire  
+1 (650) 278-9963
admin@intlab.org
Chemical manufacturer since 2002
Identification
Name N2-[N2-[N-[N-[N-[N-[N2-[1-(2,4-Dinitrophenyl)-L-Prolyl]-L-Glutaminyl]Glycyl]-L-Isoleucyl]-L-Alanyl]Glycyl]-L-Glutaminyl]-D-Arginine
Synonyms N2-(N2-(N-(N-(N-(N-(N2-(1-(2,4-Dinitrophenyl)-L-Prolyl)-L-Glutaminyl)Glycyl)-L-Isoleucyl)-L-Alanyl)Glycyl)-L-Glutaminyl)-D-Arginine; D-Arginine, N(2)-(N(2)-(N-(N-(N-(N-(N(2)-(1-(2,4-Dinitrophenyl)-L-Prolyl)-L-Glutaminyl)Glycyl)-L-Isoleucyl)-L-Alanyl)Glycyl)-L-Glutaminyl)-
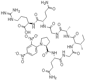
Molecular Structure CAS#: 63014-08-4, N2-[N2-[N-[N-[N-[N-[N2-[1-(2,4-Dinitrophenyl)-L-Prolyl]-L-Glutaminyl]Glycyl]-L-Isoleucyl]-L-Alanyl]Glycyl]-L-Glutaminyl]-D-Arginine
Molecular Formula C40H61N15O15
Molecular Weight 992.01
CAS Registry Number 63014-08-4
EINECS 263-790-8
SMILES [C@@H]2(N(C1=CC=C([N+]([O-])=O)C=C1[N+]([O-])=O)CCC2)C(=O)N[C@H](C(=O)NCC(=O)N[C@H](C(=O)N[C@H](C(=O)NCC(=O)N[C@H](C(=O)N[C@@H](C(=O)O)CCCNC(=N)N)CCC(=O)N)C)[C@H](CC)C)CCC(=O)N
InChI 1S/C40H61N15O15/c1-4-20(2)33(38(64)48-21(3)34(60)46-18-31(58)49-24(11-14-30(42)57)36(62)51-25(39(65)66)7-5-15-45-40(43)44)52-32(59)19-47-35(61)23(10-13-29(41)56)50-37(63)27-8-6-16-53(27)26-12-9-22(54(67)68)17-28(26)55(69)70/h9,12,17,20-21,23-25,27,33H,4-8,10-11,13-16,18-19H2,1-3H3,(H2,41,56)(H2,42,57)(H,46,60)(H,47,61)(H,48,64)(H,49,58)(H,50,63)(H,51,62)(H,52,59)(H,65,66)(H4,43,44,45)/t20-,21-,23-,24-,25+,27-,33-/m0/s1
InChIKey WEAKOQKTQAUHGL-WCEVMLKJSA-N
Protein Sequence Dnp-Pro-Gln-Gly-Ile-Ala-Gly-Gln-D-Arg-OH
Market Analysis Reports
List of Reports Available for N2-[N2-[N-[N-[N-[N-[N2-[1-(2,4-Dinitrophenyl)-L-Prolyl]-L-Glutaminyl]Glycyl]-L-Isoleucyl]-L-Alanyl]Glycyl]-L-Glutaminyl]-D-Arginine
Related Products
5,5-Bis(Propan-2-Ylsulfanyl)Pentane-1,2,...  Biphenyl-3-Carboxylic Acid Ethyl Ester  1,1,1,2-Tetrabromoethane  2-Benzyl-5-Methyl-5-Propyl-1,3-Dioxane  2-[[2-(Hydroxyimino)Acetyl]Amino]-Benzoi...  N-(Cyclohexyl)Succinimide  4-Chrysenol  N-9H-Carbazol-2-Yl-Acetamide  3-(2-Oxo-Propyl)-Pyridinium Chloride  1-Cyclohexyl-2,2,2-Trifluoro-Ethanone  1,1,1,2-Tetrachloroethane  Tetrahydro-6-Phenoxy-2H-Pyran-2-Carboxyl...  3-(4,5-Dihydro-1H-Imidazol-2-Yl)Pyridine  1-(4-Chlorophenyl)-1,3-Butanedione  Methyl 4-Mercaptobenzoate