Online Database of Chemicals from Around the World

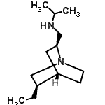
N-{[(2S,4S,5R)-5-Ethyl-1-azabicyclo[2.2.2]oct-2-yl]methyl}-2-propanamine
[CAS# 634180-59-9]

Suppliers
Atomax Chemicals Co., Ltd. China Inquire  
+86 13417589054//+86 13424336463
info@atomaxchem.com,atomax.chemicals@gmail.com,
QQ Chat
Chemical manufacturer
Identification
Name N-{[(2S,4S,5R)-5-Ethyl-1-azabicyclo[2.2.2]oct-2-yl]methyl}-2-propanamine
Synonyms N-(((1S,2S,4S,5R)-5-ethylquinuclidin-2-yl)methyl)propan-2-amine
Molecular Structure CAS#: 634180-59-9, N-{[(2S,4S,5R)-5-Ethyl-1-azabicyclo[2.2.2]oct-2-yl]methyl}-2-propanamine
Molecular Formula C13H26N2
Molecular Weight 210.36
CAS Registry Number 634180-59-9
SMILES N(C(C)C)C[C@H]1N2CC[C@@H](C1)[C@@H](CC)C2
InChI 1S/C13H26N2/c1-4-11-9-15-6-5-12(11)7-13(15)8-14-10(2)3/h10-14H,4-9H2,1-3H3/t11-,12-,13-/m0/s1
InChIKey WFOPSSQOYSIMCX-AVGNSLFASA-N
Properties
Density 0.946g/cm3 (Cal.)
Boiling point 255.212°C at 760 mmHg (Cal.)
Flash point 70.768°C (Cal.)
Refractive index 1.501 (Cal.)
Market Analysis Reports
List of Reports Available for N-{[(2S,4S,5R)-5-Ethyl-1-azabicyclo[2.2.2]oct-2-yl]methyl}-2-propanamine
Related Products
N-{[(2R,4S,5R)-5-Ethyl-1-azabicyclo[2.2....  2,6-Dichloro-3,5-Difluorophenol  (1R,5S,6S)-6-Ethyl-1-methyl-2-phenyl-2-a...  (1R,5S,6R)-6-Ethyl-1-methyl-2-phenyl-2-a...  1H-Thieno[3,4-d]imidazole-2-carbaldehyde  2-(2-Furyl)-5,6,7,8-tetrahydroquinoxalin...  3,3-Difluorotricyclo[4.2.1.0<sup>2,5</su...  1,2,4,7-Tetrafluorocubane  2,2-Difluorobicyclo[2.2.2]octane  (5S,6R)-5-(Allyloxy)-6-vinyl-5,6-dihydro...  (2R)-2-Allyl-6-hydroxy-2H-pyran-3(6H)-on...  (5S,6R)-6-Allyl-5-(vinyloxy)-5,6-dihydro...  4,4,5,5-tetramethyl-2-pent-1-ynyl-1,3,2-...  2-(3-Methoxy-1-propyn-1-yl)-4,4,5,5-tetr...  (15N)Cyanic bromide