Identification
| Name |
20-Deoxysalinomycin |
| Synonyms |
2-[6-[5-[2-(5-Ethyl-5-Hydroxy-6-Methyl-Tetrahydropyran-2-Yl)-2,10,12-Trimethyl-1,6,8-Trioxadispiro[4.1.5^{7}.3^{5}]Pentadec-13-En-9-Yl]-2-Hydroxy-1,3-Dimethyl-4-Oxo-Heptyl]-5-Methyl-Tetrahydropyran-2-Yl]Butanoic Acid; 2-[6-[5-[2-(5-Ethyl-5-Hydroxy-6-Methyl-2-Tetrahydropyranyl)-2,10,12-Trimethyl-1,6,8-Trioxadispiro[4.1.5^{7}.3^{5}]Pentadec-13-En-9-Yl]-2-Hydroxy-1,3-Dimethyl-4-Oxoheptyl]-5-Methyl-2-Tetrahydropyranyl]Butanoic Acid; 2-[6-[5-[2-(5-Ethyl-5-Hydroxy-6-Methyl-Tetrahydropyran-2-Yl)-2,10,12-Trimethyl-1,6,8-Trioxadispiro[4.1.5^{7}.3^{5}]Pentadec-13-En-9-Yl]-2-Hydroxy-4-Keto-1,3-Dimethyl-Heptyl]-5-Methyl-Tetrahydropyran-2-Yl]Butyric Acid |
|
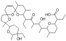
| Molecular Structure |
 |
| Molecular Formula |
C42H70O10 |
| Molecular Weight |
735.01 |
| CAS Registry Number |
64003-50-5 |
| SMILES |
C(C(C(C(C(C(C1OC(C(C(=O)O)CC)CCC1C)C)O)C)=O)C5OC4(OC3(OC(C2OC(C)C(CC2)(O)CC)(C)CC3)CC=C4)C(CC5C)C)C |
| InChI |
1S/C42H70O10/c1-11-30(38(45)46)32-16-15-24(4)36(49-32)28(8)34(43)27(7)35(44)31(12-2)37-25(5)23-26(6)42(50-37)19-14-18-41(52-42)22-21-39(10,51-41)33-17-20-40(47,13-3)29(9)48-33/h14,19,24-34,36-37,43,47H,11-13,15-18,20-23H2,1-10H3,(H,45,46) |
| InChIKey |
XLVIXTBNHCWLTO-UHFFFAOYSA-N |
|