Online Database of Chemicals from Around the World

Kaurane-3,16,17-Triol-3-O-beta-Glucopyranosyl-17-O-beta-Glucopyranoside
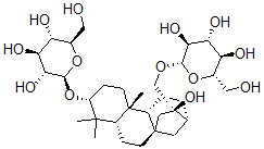
[CAS# 64280-16-6]

Suppliers
CAS#: 64280-16-6
Product: Kaurane-3,16,17-Triol-3-O-beta-Glucopyranosyl-17-O-beta-Glucopyranoside
No suppilers available for the product.
Identification
Name Kaurane-3,16,17-Triol-3-O-beta-Glucopyranosyl-17-O-beta-Glucopyranoside
Synonyms Kaurane-Glup-Glup; Beta-D-Glucopyranoside, (3Alpha)-16-Hydroxykaurane-3,17-Diyl Bis-
Molecular Structure CAS#: 64280-16-6, Kaurane-3,16,17-Triol-3-O-beta-Glucopyranosyl-17-O-beta-Glucopyranoside
Molecular Formula C32H54O13
Molecular Weight 646.77
CAS Registry Number 64280-16-6
SMILES [C@@]23([C@@H](C(C)(C)[C@H](O[C@H]1[C@@H]([C@@H](O)[C@@H]([C@H](O1)CO)O)O)CC2)CC[C@@]46[C@H]3CC[C@@H]([C@](C4)(CO[C@@H]5[C@H]([C@H](O)[C@H]([C@@H](O5)CO)O)O)O)C6)C
InChI 1S/C32H54O13/c1-29(2)18-6-9-31-10-15(32(41,13-31)14-42-27-25(39)23(37)21(35)16(11-33)43-27)4-5-19(31)30(18,3)8-7-20(29)45-28-26(40)24(38)22(36)17(12-34)44-28/h15-28,33-41H,4-14H2,1-3H3/t15-,16+,17-,18-,19+,20-,21+,22-,23-,24+,25+,26-,27+,28+,30-,31+,32+/m1/s1
InChIKey SEICMRDJFDBLKU-HFUYXQKZSA-N
Properties
Density 1.444g/cm3 (Cal.)
Boiling point 828.08°C at 760 mmHg (Cal.)
Flash point 454.606°C (Cal.)
Market Analysis Reports
List of Reports Available for Kaurane-3,16,17-Triol-3-O-beta-Glucopyranosyl-17-O-beta-Glucopyranoside
Related Products
4-(2-Aminoethylamino)-Pyridine Hydrochlo...  Tetrasodium 5-(Acetylamino)-3-[[4-[[3,5-...  4-[(R)-2-[(1R,3S,5S)-3,5-Dimethyl-2-Oxoc...  Tetrasodium 5-[[6-[(3-Aminobenzoyl)Amino...  Direct Green 50, trisodium salt  Trisodium 2,4-Bis[[2,4-Diamino-5-[(3-Sul...  1'-Sulfoxysafrole  6-Amino-9-beta-D-Glucopyranosyl-1,9-Dihy...  Sodium (Z)-2-Hydroxy-3-[(2-Hydroxyethyl)...  2-Propenoic Acid, 2-Ethylhexyl Ester, Po...  2-Methyl-2-Propenoic Acid Isodecyl Ester...  6-[[2-Amino-4-[(2-Hydroxyethyl)Amino]Phe...  2,2-Dimethyl-3-Hydroxy-3-(4-Methoxypheny...  (3R,5S,10S,13S,17S)-4,4,10,13-Tetramethy...  2-[4-(3-Ethyl-4-Oxo-2-Thioxothiazolidin-...