Online Database of Chemicals from Around the World

Polymyxin M
[CAS# 6683-17-6]

Suppliers
CAS#: 6683-17-6
Product: Polymyxin M
No suppilers available for the product.
Identification
Name Polymyxin M
Synonyms N-[(1S)-3-Amino-1-[[(1S,2R)-1-[[(1S)-3-Amino-1-[[(3S,6S,9S,12S,15R,18S,21S)-6,9,18-Tris(2-Aminoethyl)-3,12-Bis(1-Hydroxyethyl)-15-Isobutyl-2,5,8,11,14,17,20-Heptaoxo-1,4,7,10,13,16,19-Heptazacyclotricos-21-Yl]Carbamoyl]Propyl]Carbamoyl]-2-Hydroxy-Propyl]Carbamoyl]Propyl]-6-Methyl-Octanamide; N-[(1S)-3-Amino-1-[[[(1S,2R)-1-[[[(1S)-3-Amino-1-[Oxo-[[(3S,6S,9S,12S,15R,18S,21S)-6,9,18-Tris(2-Aminoethyl)-3,12-Bis(1-Hydroxyethyl)-15-Isobutyl-2,5,8,11,14,17,20-Heptaoxo-1,4,7,10,13,16,19-Heptazacyclotricos-21-Yl]Amino]Methyl]Propyl]Amino]-Oxomethyl]-2-Hydroxypropyl]Amino]-Oxomethyl]Propyl]-6-Methyloctanamide; N-[(1S)-3-Amino-1-[[(1S,2R)-1-[[(1S)-3-Amino-1-[[(3S,6S,9S,12S,15R,18S,21S)-6,9,18-Tris(2-Aminoethyl)-3,12-Bis(1-Hydroxyethyl)-15-Isobutyl-2,5,8,11,14,17,20-Heptaketo-1,4,7,10,13,16,19-Heptazacyclotricos-21-Yl]Carbamoyl]Propyl]Carbamoyl]-2-Hydroxy-Propyl]Carbamoyl]Propyl]-6-Methyl-Caprylamide
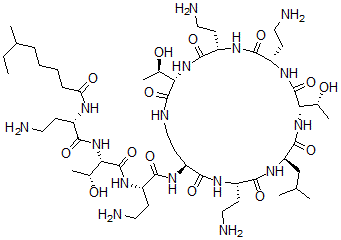
Molecular Structure CAS#: 6683-17-6, Polymyxin M
Molecular Formula C51H96N16O14
Molecular Weight 1157.42
CAS Registry Number 6683-17-6
SMILES [C@H]1(NC(=O)[C@H](NC(=O)[C@@H](NC(=O)[C@@H](NC(=O)[C@@H](NC(=O)[C@@H](NC(=O)[C@@H](NC(=O)CCCCC(CC)C)CCN)[C@H](O)C)CCN)CCNC(=O)[C@@H](NC(=O)[C@@H](NC(=O)[C@@H](NC1=O)CCN)CCN)[C@H](O)C)CCN)CC(C)C)[C@H](O)C
InChI 1S/C51H96N16O14/c1-8-27(4)11-9-10-12-38(71)58-31(13-19-52)46(76)66-40(29(6)69)50(80)63-34(16-22-55)43(73)61-36-18-24-57-49(79)39(28(5)68)65-47(77)35(17-23-56)60-42(72)33(15-21-54)62-51(81)41(30(7)70)67-48(78)37(25-26(2)3)64-44(74)32(14-20-53)59-45(36)75/h26-37,39-41,68-70H,8-25,52-56H2,1-7H3,(H,57,79)(H,58,71)(H,59,75)(H,60,72)(H,61,73)(H,62,81)(H,63,80)(H,64,74)(H,65,77)(H,66,76)(H,67,78)/t27?,28-,29-,30-,31+,32+,33+,34+,35+,36+,37-,39+,40+,41+/m1/s1
InChIKey XRBFWBMDMQIAQF-ZHFMXAAZSA-N
Properties
Density 1.289g/cm3 (Cal.)
Boiling point 1569.162°C at 760 mmHg (Cal.)
Flash point 902.796°C (Cal.)
Market Analysis Reports
List of Reports Available for Polymyxin M
Related Products
(3S,13R)-1,2,3,4,4aalpha,5,11,11aalpha-O...  Cianopramine  3-Methyl-4-Phenyl-1-Butene  (2S,4aalpha,6abeta,10aalpha)-2beta-(3-Fu...  Val-Ala-Pro-Gly Acetate Salt  11-Methoxy-1,3-Dioxolo[4,5-b]Acridin-10(...  2-Methylmyristic Acid  3-(1-Pyrrolidinylmethyl)Biphenyl-4-Ol  3-Pyrrolidino-N-Methyl-4-Methoxybiphenyl  3-(1-Piperidinylmethyl)Biphenyl-4-Ol  3-[(Diethylamino)Methyl]Biphenyl-4-Ol  3-Pyrrolidino-N-Methyl-4-Ethoxybiphenyl  7,7-Dimethoxyhept-3-Yne  N,N-Dimethyl-N'-(4-methylphenyl)sulfamid...  alpha-Cyano-3-Phenoxybenzyl [1R-[1alpha(...