Online Database of Chemicals from Around the World

Sodium dibutylphosphinodithioate
[CAS# 71550-48-6]

Suppliers
CAS#: 71550-48-6
Product: Sodium dibutylphosphinodithioate
No suppilers available for the product.
Identification
Name Sodium dibutylphosphinodithioate
Synonyms Phosphinodithioic acid, dibutyl-, sodium salt
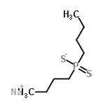
Molecular Structure CAS#: 71550-48-6, Sodium dibutylphosphinodithioate
Molecular Formula C8H18NaPS2
Molecular Weight 232.32
CAS Registry Number 71550-48-6
SMILES [Na+].CCCCP([S-])(=S)CCCC
InChI 1S/C8H19PS2.Na/c1-3-5-7-9(10,11)8-6-4-2;/h3-8H2,1-2H3,(H,10,11);/q;+1/p-1
InChIKey VVYDGZBJOATDQQ-UHFFFAOYSA-M
Market Analysis Reports
List of Reports Available for Sodium dibutylphosphinodithioate
Related Products
Methyl (1S,2S)-2-(hydroxymethyl)cyclohex...  (6-Imino-2-oxo-3,6-dihydro-1(2H)-pyrimid...  4-(Dimethylamino)tetrahydro-3-furanyl ac...  1-(3,4-Dihydroxyphenyl)-2-(isopropylamin...  (1Z)-2-(2-Oxo-1-pyrrolidinyl)ethanimidam...  Methyl 2,3,4-tri-O-acetyl-6-amino-6-deox...  1-Amino-5-azaspiro[2.4]heptan-5-ol  N-1,2-Oxazol-3-ylsulfuric diamide  N-(4-Methyl-1,2-oxazol-5-yl)sulfuric dia...  2,3-Dihydro-1H-[1,4]diazepino[1,2-a]benz...  (3E)-14,14-Dimethoxy-3-tetradecene  Diammonium 6,6'-(1,6-hexanediyldiimino)b...  3-(Tributylgermyl)-1-propanamine  3-(Triethylsilyl)-2-propynal  1-(3,4-Dihydroxyphenyl)-2,5-pyrrolidined...