Online Database of Chemicals from Around the World

Aminopropylcobalamin
[CAS# 72728-11-1]

Suppliers
CAS#: 72728-11-1
Product: Aminopropylcobalamin
No suppilers available for the product.
Identification
Name Aminopropylcobalamin
Synonyms Cobinamide, Co-(3-Aminopropyl) Deriv., Hydroxide, Dihydrogen Phosphate (Ester), Inner Salt, 3'-Ester With 5,6-Dimethyl-1-Alpha-D-Ribofuranosyl-1H-Benzimidazole
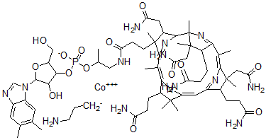
Molecular Structure CAS#: 72728-11-1, Aminopropylcobalamin
Molecular Formula C65H96CoN14O14P
Molecular Weight 1387.47
CAS Registry Number 72728-11-1
SMILES [Co+3].N1=C6C(C(C1(C2N=C(C(C2CC(=O)N)(CCC(=O)NCC(O[P](OC3C(O)C(OC3CO)[N]5C4=CC(=C(C=C4N=C5)C)C)([O-])=O)C)C)C(=C8[N-]C(=CC7=NC(=C6C)C(C7CCC(=O)N)(CC(=O)N)C)C(C8CCC(=O)N)(C)C)C)C)(CC(=O)N)C)CCC(=O)N.[CH2-]CCN
InChI 1S/C62H90N13O14P.C3H8N.Co/c1-29-20-39-40(21-30(29)2)75(28-70-39)57-52(84)53(41(27-76)87-57)89-90(85,86)88-31(3)26-69-49(83)18-19-59(8)37(22-46(66)80)56-62(11)61(10,25-48(68)82)36(14-17-45(65)79)51(74-62)33(5)55-60(9,24-47(67)81)34(12-15-43(63)77)38(71-55)23-42-58(6,7)35(13-16-44(64)78)50(72-42)32(4)54(59)73-56;1-2-3-4;/h20-21,23,28,31,34-37,41,52-53,56-57,76,84H,12-19,22,24-27H2,1-11H3,(H15,63,64,65,66,67,68,69,71,72,73,74,77,78,79,80,81,82,83,85,86);1-4H2;/q;-1;+3/p-2
InChIKey BUSHCRZUAUKJDC-UHFFFAOYSA-L
Market Analysis Reports
List of Reports Available for Aminopropylcobalamin
Related Products
3-(4-Pyridyl)Indole  1-Hydroxy-5-Methoxy-6-Methylpyridin-2-On...  Calcium (4-Chloro-2-Methylphenoxy)Acetat...  1,5,6,7-Tetrahydro-1,2,3-Trimethyl-4H-In...  N-[4-(4-Amino-3-Chlorophenyl)-2-Chloroph...  N-[(5E)-5-[(3-Hydroxyphenyl)Methylidene]...  N-[(5E)-5-[(4-Hydroxy-3-Methoxyphenyl)Me...  N-(5-Cyclohexylidene-4-Oxo-2-Sulfanylide...  N-[(5E)-5-(Furan-2-Ylmethylidene)-4-Oxo-...  N-[(5E)-5-[(E)-4-Furan-2-Ylbut-3-En-2-Yl...  2-Methyl-4-(2-methylaminoethoxy)-5-propa...  4,4'-Dihydroxyantipyrine  Luciferin  [(N-Nitrosomethylamino)Methyl]Carbamic A...  4-Amino-N-(1,1,1-Trifluoropropan-2-Ylide...