Online Database of Chemicals from Around the World

N-{4-[4-(4-Methoxyphenyl)-1-piperazinyl]phenyl}hydrazinecarboxamide
[CAS# 74852-89-4]

Suppliers
International Laboratory Limited USA Inquire  
+1 (650) 278-9963
admin@intlab.org
Chemical manufacturer since 2002
Ryan Scientific, Inc. USA Inquire  
+1 (843)-884-4911
sales@ryansci.com
Chemical manufacturer
Specs Ltd. Netherlands Inquire  
+31 (15) 251-8111
info@specs.net
Chemical manufacturer since 1987
Identification
Name N-{4-[4-(4-Methoxyphenyl)-1-piperazinyl]phenyl}hydrazinecarboxamide
Synonyms 4-{[4-(4-METHYLOXY-PHENYL)-PIPERAZIN-1-YL]-PHENYL}-HYDRAZINECARBOXAMIDE; N-{4-[4-(4-methoxyphenyl)-1-piperazinyl]phenyl}hydrazinecarboxamide
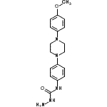
Molecular Structure CAS#: 74852-89-4, N-{4-[4-(4-Methoxyphenyl)-1-piperazinyl]phenyl}hydrazinecarboxamide
Molecular Formula C18H23N5O2
Molecular Weight 341.41
CAS Registry Number 74852-89-4
SMILES COC1=CC=C(C=C1)N2CCN(CC2)C3=CC=C(C=C3)NC(=O)NN
InChI 1S/C18H23N5O2/c1-25-17-8-6-16(7-9-17)23-12-10-22(11-13-23)15-4-2-14(3-5-15)20-18(24)21-19/h2-9H,10-13,19H2,1H3,(H2,20,21,24)
InChIKey SJJKOFVYSSHYQQ-UHFFFAOYSA-N
Properties
Density 1.3±0.1g/cm3 (Cal.)
Market Analysis Reports
List of Reports Available for N-{4-[4-(4-Methoxyphenyl)-1-piperazinyl]phenyl}hydrazinecarboxamide
Related Products
2H-Pyrimido[4,5-e][1,3]oxazine  1-Bromo-3,4-dimethoxy-2-methylbenzene  4-Isopropyl-2-azetidinone  3,3-Dimethyl-4-phenyl-2-azetidinone  3-Azatricyclo[4.2.1.0<sup>2,5</sup>]nona...  1-Piperidinyl L-valinate  3-Amino-N-(carboxymethyl)-L-alanine  3-Imino-1,4-dimethyl-3,4-dihydro-2(1H)-p...  1-Aminobicyclo[2.2.1]heptan-2-one  4-(2-Methyl-2-propanyl)cyclohexyl imidof...  7-Ethoxy-6-methyl-4,5,6,7-tetrahydrothie...  Dimethyl 1,4-naphthalenedicarboxylate  5-Ethoxy-2-methylbenzenesulfonic acid  2-(6-Amino-2,3-dimethoxyphenyl)ethanol  1-(3-Methyl-2-pyridinyl)-2-propanol