Online Database of Chemicals from Around the World

[1-[(2-Amino-2-Oxoethyl)Amino]-4-Methyl-1-Oxopentan-2-Yl] 1-[19-Amino-7-(2-Amino-2-Oxoethyl)-10-(3-Amino-3-Oxopropyl)-13-Butan-2-Yl-16-[(4-Hydroxyphenyl)Methyl]-6,9,12,15,18-Pentaoxo1,2-Dithia-5,8,11,14,17-Pentazacycloicosane-4-Carbonyl]Pyrrolidine-2-Carboxylate
[CAS# 75607-76-0]

Suppliers
CAS#: 75607-76-0
Product: [1-[(2-Amino-2-Oxoethyl)Amino]-4-Methyl-1-Oxopentan-2-Yl] 1-[19-Amino-7-(2-Amino-2-Oxoethyl)-10-(3-Amino-3-Oxopropyl)-13-Butan-2-Yl-16-[(4-Hydroxyphenyl)Methyl]-6,9,12,15,18-Pentaoxo1,2-Dithia-5,8,11,14,17-Pentazacycloicosane-4-Carbonyl]Pyrrolidine-2-Carboxylate
No suppilers available for the product.
Identification
Name [1-[(2-Amino-2-Oxoethyl)Amino]-4-Methyl-1-Oxopentan-2-Yl] 1-[19-Amino-7-(2-Amino-2-Oxoethyl)-10-(3-Amino-3-Oxopropyl)-13-Butan-2-Yl-16-[(4-Hydroxyphenyl)Methyl]-6,9,12,15,18-Pentaoxo1,2-Dithia-5,8,11,14,17-Pentazacycloicosane-4-Carbonyl]Pyrrolidine-2-Carboxylate
Synonyms [1-[(2-Amino-2-Oxo-Ethyl)Carbamoyl]-3-Methyl-Butyl] 1-[19-Amino-7-(2-Amino-2-Oxo-Ethyl)-10-(3-Amino-3-Oxo-Propyl)-16-[(4-Hydroxyphenyl)Methyl]-6,9,12,15,18-Pentaoxo-13-Sec-Butyl-1,2-Dithia-5,8,11,14,17-Pentazacycloicosane-4-Carbonyl]Pyrrolidine-2-Carboxylate; 1-[[19-Amino-7-(2-Amino-2-Oxoethyl)-10-(3-Amino-3-Oxopropyl)-16-[(4-Hydroxyphenyl)Methyl]-6,9,12,15,18-Pentaoxo-13-Sec-Butyl-1,2-Dithia-5,8,11,14,17-Pentazacycloicos-4-Yl]-Oxomethyl]-2-Pyrrolidinecarboxylic Acid [1-[[(2-Amino-2-Oxoethyl)Amino]-Oxomethyl]-3-Methylbutyl] Ester; 1-[19-Amino-7-(2-Amino-2-Keto-Ethyl)-10-(3-Amino-3-Keto-Propyl)-16-(4-Hydroxybenzyl)-6,9,12,15,18-Pentaketo-13-Sec-Butyl-1,2-Dithia-5,8,11,14,17-Pentazacycloicosane-4-Carbonyl]Pyrrolidine-2-Carboxylic Acid [1-[(2-Amino-2-Keto-Ethyl)Carbamoyl]-3-Methyl-Butyl] Ester
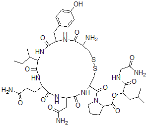
Molecular Structure CAS#: 75607-76-0, [1-[(2-Amino-2-Oxoethyl)Amino]-4-Methyl-1-Oxopentan-2-Yl] 1-[19-Amino-7-(2-Amino-2-Oxoethyl)-10-(3-Amino-3-Oxopropyl)-13-Butan-2-Yl-16-[(4-Hydroxyphenyl)Methyl]-6,9,12,15,18-Pentaoxo1,2-Dithia-5,8,11,14,17-Pentazacycloicosane-4-Carbonyl]Pyrrolidine-2-Carboxylate
Molecular Formula C43H65N11O13S2
Molecular Weight 1008.17
CAS Registry Number 75607-76-0
SMILES C3=C(CC1NC(=O)C(N)CSSCC(NC(=O)C(NC(=O)C(NC(=O)C(NC1=O)C(CC)C)CCC(=O)N)CC(=O)N)C(=O)N2C(C(OC(C(=O)NCC(=O)N)CC(C)C)=O)CCC2)C=CC(=C3)O
InChI 1S/C43H65N11O13S2/c1-5-22(4)35-41(64)49-26(12-13-32(45)56)37(60)51-28(17-33(46)57)38(61)52-29(20-69-68-19-25(44)36(59)50-27(39(62)53-35)16-23-8-10-24(55)11-9-23)42(65)54-14-6-7-30(54)43(66)67-31(15-21(2)3)40(63)48-18-34(47)58/h8-11,21-22,25-31,35,55H,5-7,12-20,44H2,1-4H3,(H2,45,56)(H2,46,57)(H2,47,58)(H,48,63)(H,49,64)(H,50,59)(H,51,60)(H,52,61)(H,53,62)
InChIKey LTQDOSYZJIQEAM-UHFFFAOYSA-N
Properties
Density 1.276g/cm3 (Cal.)
Boiling point 1473.778°C at 760 mmHg (Cal.)
Flash point 845.111°C (Cal.)
Market Analysis Reports
List of Reports Available for [1-[(2-Amino-2-Oxoethyl)Amino]-4-Methyl-1-Oxopentan-2-Yl] 1-[19-Amino-7-(2-Amino-2-Oxoethyl)-10-(3-Amino-3-Oxopropyl)-13-Butan-2-Yl-16-[(4-Hydroxyphenyl)Methyl]-6,9,12,15,18-Pentaoxo1,2-Dithia-5,8,11,14,17-Pentazacycloicosane-4-Carbonyl]Pyrrolidine-2-Carboxylate
Related Products
Methyl 4-Methylpiperazine-1-Carboxylate  Dichloroacetic Acid Vinyl Ester  4-[(3-Cyclopentyloxy-4-Methoxyphenyl)Met...  2-(4-Methylphenyl)-1H-Indene-1,3(2H)-Dio...  N-[4-Chloro-2-(2-Chlorobenzoyl)Phenyl]-2...  N-[4-Chloro-2-(2-Chlorobenzoyl)Phenyl]-N...  N-[4-Chloro-2-(2-Chlorobenzoyl)Phenyl]-2...  N-[4-Chloro-2-(2-Chlorobenzoyl)Phenyl]-2...  But-2-Enedioic Acid; N-[4-Chloro-2-(2-Ch...  But-2-Enedioic Acid; N-[4-Chloro-2-(2-Ch...  N-[4-Chloro-2-(2-Chlorobenzoyl)Phenyl]-N...  2-(2,4-Dimethylphenyl)-1H-Indene-1,3(2H)...  Trinactin  (3-Methyl-1,2-Oxazol-5-Yl)Methyl-Triphen...  1,2,3,4,6,7-Hexabromonaphthalene