Online Database of Chemicals from Around the World

(2S,3S,4S,5R,6R)-6-[[(13S,16S,17S)-3,17-Dihydroxy-13-Methyl-6,7,8,9,11,12,14,15,16,17-Decahydrocyclopenta[a]Phenanthren-16-Yl]Oxy]-N-[4-[(1,4-Dioxo-2,3-Dihydrophthalazin-6-Yl)-Ethylamino]Butyl]-3,4,5-Trihydroxyoxane-2-Carboxamide
[CAS# 76648-58-3]

Suppliers
CAS#: 76648-58-3
Product: (2S,3S,4S,5R,6R)-6-[[(13S,16S,17S)-3,17-Dihydroxy-13-Methyl-6,7,8,9,11,12,14,15,16,17-Decahydrocyclopenta[a]Phenanthren-16-Yl]Oxy]-N-[4-[(1,4-Dioxo-2,3-Dihydrophthalazin-6-Yl)-Ethylamino]Butyl]-3,4,5-Trihydroxyoxane-2-Carboxamide
No suppilers available for the product.
Identification
Name (2S,3S,4S,5R,6R)-6-[[(13S,16S,17S)-3,17-Dihydroxy-13-Methyl-6,7,8,9,11,12,14,15,16,17-Decahydrocyclopenta[a]Phenanthren-16-Yl]Oxy]-N-[4-[(1,4-Dioxo-2,3-Dihydrophthalazin-6-Yl)-Ethylamino]Butyl]-3,4,5-Trihydroxyoxane-2-Carboxamide
Synonyms (2S,3S,4S,5R,6R)-6-[[(13S,16S,17S)-3,17-Dihydroxy-13-Methyl-6,7,8,9,11,12,14,15,16,17-Decahydrocyclopenta[A]Phenanthren-16-Yl]Oxy]-N-[4-[(1,4-Dioxo-2,3-Dihydrophthalazin-6-Yl)-Ethyl-Amino]Butyl]-3,4,5-Trihydroxy-Tetrahydropyran-2-Carboxamide; (2S,3S,4S,5R,6R)-6-[[(13S,16S,17S)-3,17-Dihydroxy-13-Methyl-6,7,8,9,11,12,14,15,16,17-Decahydrocyclopenta[A]Phenanthren-16-Yl]Oxy]-N-[4-[(1,4-Dioxo-2,3-Dihydrophthalazin-6-Yl)-Ethylamino]Butyl]-3,4,5-Trihydroxy-2-Tetrahydropyrancarboxamide; (2S,3S,4S,5R,6R)-6-[[(13S,16S,17S)-3,17-Dihydroxy-13-Methyl-6,7,8,9,11,12,14,15,16,17-Decahydrocyclopenta[A]Phenanthren-16-Yl]Oxy]-N-[4-[(1,4-Diketo-2,3-Dihydrophthalazin-6-Yl)-Ethyl-Amino]Butyl]-3,4,5-Trihydroxy-Tetrahydropyran-2-Carboxamide
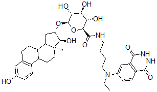
Molecular Structure CAS#: 76648-58-3, (2S,3S,4S,5R,6R)-6-[[(13S,16S,17S)-3,17-Dihydroxy-13-Methyl-6,7,8,9,11,12,14,15,16,17-Decahydrocyclopenta[a]Phenanthren-16-Yl]Oxy]-N-[4-[(1,4-Dioxo-2,3-Dihydrophthalazin-6-Yl)-Ethylamino]Butyl]-3,4,5-Trihydroxyoxane-2-Carboxamide
Molecular Formula C38H50N4O10
Molecular Weight 722.83
CAS Registry Number 76648-58-3
SMILES [C@H]5(O[C@H]4CC3C2CCC1=C(C=CC(=C1)O)C2CC[C@@]3([C@@H]4O)C)[C@H](O)[C@@H](O)[C@H](O)[C@H](O5)C(=O)NCCCCN(C7=CC6=C(C(NNC6=O)=O)C=C7)CC
InChI 1S/C38H50N4O10/c1-3-42(20-7-10-25-26(17-20)35(49)41-40-34(25)48)15-5-4-14-39-36(50)32-30(45)29(44)31(46)37(52-32)51-28-18-27-24-9-6-19-16-21(43)8-11-22(19)23(24)12-13-38(27,2)33(28)47/h7-8,10-11,16-17,23-24,27-33,37,43-47H,3-6,9,12-15,18H2,1-2H3,(H,39,50)(H,40,48)(H,41,49)/t23?,24?,27?,28-,29-,30-,31+,32-,33+,37+,38-/m0/s1
InChIKey AVLRROMPAUCUCH-FHVVNJAGSA-N
Properties
Density 1.449g/cm3 (Cal.)
Market Analysis Reports
List of Reports Available for (2S,3S,4S,5R,6R)-6-[[(13S,16S,17S)-3,17-Dihydroxy-13-Methyl-6,7,8,9,11,12,14,15,16,17-Decahydrocyclopenta[a]Phenanthren-16-Yl]Oxy]-N-[4-[(1,4-Dioxo-2,3-Dihydrophthalazin-6-Yl)-Ethylamino]Butyl]-3,4,5-Trihydroxyoxane-2-Carboxamide
Related Products
1-Chloropropan-2-Yl Bis(2-Chloropropyl) ...  (E)-Hex-3-Enyl (Z)-2-Methylpent-2-Enoate  [(E)-3-Methyl-4-(2,6,6-Trimethyl-1-Cyclo...  3-Methyl-2-Pentylcyclopentan-1-Ol  (3-Methyl-2-Pentylcyclopentyl) Acetate  3-Methylbut-2-Enyl 2-Methylpropanoate  1-(2,6,6-Trimethyl-1-Cyclohexenyl)Pentan...  Hexanedioic acid, polymer with N-(2-amin...  Formic acid, compd. with N-(2-aminoethyl...  Hexanedioic acid, polymer with N-(2-amin...  N-(2-Aminoethyl)Ethane-1,2-Diamine; 2-(C...  N-(2-Aminoethyl)Ethane-1,2-Diamine; 2-(C...  N-(2-Aminoethyl)Ethane-1,2-Diamine; 2-(C...  N-(2-Aminoethyl)Ethane-1,2-Diamine; 2-(C...  Dipropyloxostannane