Online Database of Chemicals from Around the World

[2-[2-[2-[[6-Amino-2-[3-Amino-1-[(2,3-Diamino-3-Oxopropyl)Amino]-3-Oxopropyl]-5-Methylpyrimidine-4-Carbonyl]Amino]-3-[[5-[[1-[[1-(5-Amino-3,4-Dihydroxy-6-Methyloxan-2-Yl)Oxy-2-[4-[4-[3-(Bis(2-Hydroxyethyl)Amino)Propylcarbamoyl]-1,3-Thiazol-2-Yl]-1,3-Thiazol-2-Yl]-2-Hydroxyethyl]Amino]-3-Hydroxy-1-Oxobutan-2-Yl]Amino]-3-Hydroxy-5-Oxopentan-2-Yl]Amino]-1-(3H-Imidazol-4-Yl)-3-Oxopropoxy]-4,5-Dihydroxy-6-(Hydroxymethyl)Oxan-3-Yl]Oxy-3,5-Dihydroxy-6-(Hydroxymethyl)Oxan-4-Yl] Carbamate
[CAS# 77368-79-7]

Suppliers
CAS#: 77368-79-7
Product: [2-[2-[2-[[6-Amino-2-[3-Amino-1-[(2,3-Diamino-3-Oxopropyl)Amino]-3-Oxopropyl]-5-Methylpyrimidine-4-Carbonyl]Amino]-3-[[5-[[1-[[1-(5-Amino-3,4-Dihydroxy-6-Methyloxan-2-Yl)Oxy-2-[4-[4-[3-(Bis(2-Hydroxyethyl)Amino)Propylcarbamoyl]-1,3-Thiazol-2-Yl]-1,3-Thiazol-2-Yl]-2-Hydroxyethyl]Amino]-3-Hydroxy-1-Oxobutan-2-Yl]Amino]-3-Hydroxy-5-Oxopentan-2-Yl]Amino]-1-(3H-Imidazol-4-Yl)-3-Oxopropoxy]-4,5-Dihydroxy-6-(Hydroxymethyl)Oxan-3-Yl]Oxy-3,5-Dihydroxy-6-(Hydroxymethyl)Oxan-4-Yl] Carbamate
No suppilers available for the product.
Identification
Name [2-[2-[2-[[6-Amino-2-[3-Amino-1-[(2,3-Diamino-3-Oxopropyl)Amino]-3-Oxopropyl]-5-Methylpyrimidine-4-Carbonyl]Amino]-3-[[5-[[1-[[1-(5-Amino-3,4-Dihydroxy-6-Methyloxan-2-Yl)Oxy-2-[4-[4-[3-(Bis(2-Hydroxyethyl)Amino)Propylcarbamoyl]-1,3-Thiazol-2-Yl]-1,3-Thiazol-2-Yl]-2-Hydroxyethyl]Amino]-3-Hydroxy-1-Oxobutan-2-Yl]Amino]-3-Hydroxy-5-Oxopentan-2-Yl]Amino]-1-(3H-Imidazol-4-Yl)-3-Oxopropoxy]-4,5-Dihydroxy-6-(Hydroxymethyl)Oxan-3-Yl]Oxy-3,5-Dihydroxy-6-(Hydroxymethyl)Oxan-4-Yl] Carbamate
Synonyms [2-[2-[2-[[6-Amino-2-[3-Amino-1-[(2,3-Diamino-3-Oxo-Propyl)Amino]-3-Oxo-Propyl]-5-Methyl-Pyrimidine-4-Carbonyl]Amino]-3-[[4-[[1-[[1-(5-Amino-3,4-Dihydroxy-6-Methyl-Tetrahydropyran-2-Yl)Oxy-2-[4-[4-[3-(Bis(2-Hydroxyethyl)Amino)Propylcarbamoyl]Thiazol-2-Yl]Thiazol-2-Yl]-2-Hydroxy-Ethyl]Carbamoyl]-2-Hydroxy-Propyl]Amino]-2-Hydroxy-1-Methyl-4-Oxo-Butyl]Amino]-1-(3H-Imidazol-4-Yl)-3-Oxo-Propoxy]-4,5-Dihydroxy-6-(Hydroxymethyl)Tetrahydropyran-3-Yl]Oxy-3,5-Dihydroxy-6-(Hydroxymethyl)Tetrahydropyran-4-Yl] Carbamate; [2-[2-[2-[[6-Amino-2-[3-Amino-1-[(2,3-Diamino-3-Oxo-Propyl)Amino]-3-Oxo-Propyl]-5-Methyl-Pyrimidin-4-Yl]Carbonylamino]-3-[[5-[[1-[[1-(5-Amino-3,4-Dihydroxy-6-Methyl-Oxan-2-Yl)Oxy-2-[4-[4-[3-(Bis(2-Hydroxyethyl)Amino)Propylcarbamoyl]-1,3-Thiazol-2-Yl]-1,3-Thiazol-2-Yl]-2-Hydroxy-Ethyl]Amino]-3-Hydroxy-1-Oxo-Butan-2-Yl]Amino]-3-Hydroxy-5-Oxo-Pentan-2-Yl]Amino]-1-(3H-Imidazol-4-Yl)-3-Oxo-Propoxy]-4,5-Dihydroxy-6-(Hydroxymethyl)Oxan-3-Yl]Oxy-3,5-Dihydroxy-6-(Hydroxymethyl)Oxan-4-Yl] Carbamate; Bleomycinamide, 13-((4-Amino-4,6-Didexoy-Alpha-L-Talopyranosyl)Oxy)-N(Sup 1)-(3-(Bis(2-Hydroxyethyl)Amino)Propyl)-19-Demethyl-12-Hydroxy-, Copper Complex
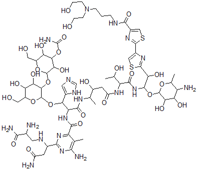
Molecular Structure CAS#: 77368-79-7, [2-[2-[2-[[6-Amino-2-[3-Amino-1-[(2,3-Diamino-3-Oxopropyl)Amino]-3-Oxopropyl]-5-Methylpyrimidine-4-Carbonyl]Amino]-3-[[5-[[1-[[1-(5-Amino-3,4-Dihydroxy-6-Methyloxan-2-Yl)Oxy-2-[4-[4-[3-(Bis(2-Hydroxyethyl)Amino)Propylcarbamoyl]-1,3-Thiazol-2-Yl]-1,3-Thiazol-2-Yl]-2-Hydroxyethyl]Amino]-3-Hydroxy-1-Oxobutan-2-Yl]Amino]-3-Hydroxy-5-Oxopentan-2-Yl]Amino]-1-(3H-Imidazol-4-Yl)-3-Oxopropoxy]-4,5-Dihydroxy-6-(Hydroxymethyl)Oxan-3-Yl]Oxy-3,5-Dihydroxy-6-(Hydroxymethyl)Oxan-4-Yl] Carbamate
Molecular Formula C62H97N19O28S2
Molecular Weight 1620.68
CAS Registry Number 77368-79-7
SMILES C1=C(N=C(S1)C(C(NC(C(C(C)O)NC(CC(C(NC(C(C(C2=CN=C[NH]2)OC3C(C(C(C(O3)CO)O)O)OC4OC(C(C(C4O)OC(N)=O)O)CO)NC(C5=NC(=NC(=C5C)N)C(NCC(C(N)=O)N)CC(N)=O)=O)=O)C)O)=O)=O)OC6C(C(C(C(O6)C)N)O)O)O)C7=NC(=CS7)C(NCCCN(CCO)CCO)=O
InChI 1S/C62H97N19O28S2/c1-21-36(77-51(79-49(21)66)26(12-33(64)88)71-14-25(63)50(67)97)53(99)78-38(46(27-15-69-20-72-27)106-61-48(42(93)39(90)31(16-84)105-61)107-60-44(95)47(108-62(68)102)40(91)32(17-85)104-60)55(101)73-22(2)30(87)13-34(89)76-37(23(3)86)54(100)80-56(109-59-43(94)41(92)35(65)24(4)103-59)45(96)58-75-29(19-111-58)57-74-28(18-110-57)52(98)70-6-5-7-81(8-10-82)9-11-83/h15,18-20,22-26,30-32,35,37-48,56,59-61,71,82-87,90-96H,5-14,16-17,63,65H2,1-4H3,(H2,64,88)(H2,67,97)(H2,68,102)(H,69,72)(H,70,98)(H,73,101)(H,76,89)(H,78,99)(H,80,100)(H2,66,77,79)
InChIKey VLVFJAPDCSPNKT-UHFFFAOYSA-N
Properties
Density 1.652g/cm3 (Cal.)
Market Analysis Reports
List of Reports Available for [2-[2-[2-[[6-Amino-2-[3-Amino-1-[(2,3-Diamino-3-Oxopropyl)Amino]-3-Oxopropyl]-5-Methylpyrimidine-4-Carbonyl]Amino]-3-[[5-[[1-[[1-(5-Amino-3,4-Dihydroxy-6-Methyloxan-2-Yl)Oxy-2-[4-[4-[3-(Bis(2-Hydroxyethyl)Amino)Propylcarbamoyl]-1,3-Thiazol-2-Yl]-1,3-Thiazol-2-Yl]-2-Hydroxyethyl]Amino]-3-Hydroxy-1-Oxobutan-2-Yl]Amino]-3-Hydroxy-5-Oxopentan-2-Yl]Amino]-1-(3H-Imidazol-4-Yl)-3-Oxopropoxy]-4,5-Dihydroxy-6-(Hydroxymethyl)Oxan-3-Yl]Oxy-3,5-Dihydroxy-6-(Hydroxymethyl)Oxan-4-Yl] Carbamate
Related Products
[2-[2-[2-[[6-Amino-2-[3-amino-1-[(2,3-di...  [(6aR,9R,10R,10aR)-1-Acetyloxy-9-Hydroxy...  1,1'-Oxybis[2-Chloroethanol]  Procyclidine  (1S,3R,5Z)-5-[(2E)-2-[(1R,3aS,7aR)-1-[(2...  Pyridin-1-Ium [[2-(4-Butoxyphenyl)Acetyl...  Pyridin-1-Ium (Naphthalene-2-Carbonylami...  Sodium (2S,5R)-6-[[3-[Di(Phenyl)Methyl]-...  1-Aziridin-1-Yl-2,3-Dihydro-1H-Inden-2-O...  (3-Butyl-3-Hydroxy-2-Oxo-Heptyl) 4-Nitro...  5-Methyl-2-[(E)-3-Phenylprop-2-Enoyl]Ben...  (2-Nitrophenyl)Methyl Acetate  3,3-Dimethylbut-1-Ynylphosphane  2-(2-Bromoacetyl)Oxybenzoic Acid  Chlorphenoxamine