Online Database of Chemicals from Around the World

N-[2-[5,14,17,23,29-Pentakis(2-Aminoethyl)-20,26-Bis(1-Hydroxyethyl)-11-[(4-Hydroxyphenyl)Methyl]-8-(2-Methylpropyl)-3,6,9,12,15,18,21,24,27,30-Decaoxo-1,4,7,10,13,16,19,22,25,28-Decazacyclotriacont-2-Yl]Ethyl]Nonanamide Pentahydrochloride
[CAS# 77554-83-7]

Suppliers
CAS#: 77554-83-7
Product: N-[2-[5,14,17,23,29-Pentakis(2-Aminoethyl)-20,26-Bis(1-Hydroxyethyl)-11-[(4-Hydroxyphenyl)Methyl]-8-(2-Methylpropyl)-3,6,9,12,15,18,21,24,27,30-Decaoxo-1,4,7,10,13,16,19,22,25,28-Decazacyclotriacont-2-Yl]Ethyl]Nonanamide Pentahydrochloride
No suppilers available for the product.
Identification
Name N-[2-[5,14,17,23,29-Pentakis(2-Aminoethyl)-20,26-Bis(1-Hydroxyethyl)-11-[(4-Hydroxyphenyl)Methyl]-8-(2-Methylpropyl)-3,6,9,12,15,18,21,24,27,30-Decaoxo-1,4,7,10,13,16,19,22,25,28-Decazacyclotriacont-2-Yl]Ethyl]Nonanamide Pentahydrochloride
Synonyms N-[2-[5,14,17,23,29-Pentakis(2-Aminoethyl)-20,26-Bis(1-Hydroxyethyl)-11-[(4-Hydroxyphenyl)Methyl]-8-Isobutyl-3,6,9,12,15,18,21,24,27,30-Decaoxo-1,4,7,10,13,16,19,22,25,28-Decazacyclotriacont-2-Yl]Ethyl]Nonanamide Pentahydrochloride; N-[2-[5,14,17,23,29-Pentakis(2-Aminoethyl)-11-(4-Hydroxybenzyl)-20,26-Bis(1-Hydroxyethyl)-8-Isobutyl-3,6,9,12,15,18,21,24,27,30-Decaketo-1,4,7,10,13,16,19,22,25,28-Decazacyclotriacont-2-Yl]Ethyl]Pelargonamide Pentahydrochloride; Cyclic(L-Alpha,Gamma-Diaminobutyryl-Ngamma-(1-Oxononyl)-L-Alpha,Gamma-Diaminobutyryl-L-Alpha,Gamma-Diaminobutyryl-D-Leucyl-L-Threonyl-L-Alpha,Gamma-Diaminobutyryl-L-Alpha,Gamma-Diaminobutyryl-L-Threonyl-L-Alpha,Gamma-Diaminobutyryl-L-Threonyl), Pentahydrochloride
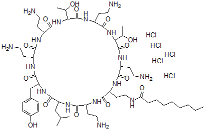
Molecular Structure CAS#: 77554-83-7, N-[2-[5,14,17,23,29-Pentakis(2-Aminoethyl)-20,26-Bis(1-Hydroxyethyl)-11-[(4-Hydroxyphenyl)Methyl]-8-(2-Methylpropyl)-3,6,9,12,15,18,21,24,27,30-Decaoxo-1,4,7,10,13,16,19,22,25,28-Decazacyclotriacont-2-Yl]Ethyl]Nonanamide Pentahydrochloride
Molecular Formula C56H103Cl5N16O14
Molecular Weight 1401.79
CAS Registry Number 77554-83-7
SMILES [Cl-].N2C(CC(C)C)C(=O)NC(CC1=CC=C(O)C=C1)C(=O)NC(CCN)C(=O)NC(CCN)C(=O)NC(C(O)C)C(=O)NC(CCN)C(=O)NC(C(O)C)C(=O)NC(C(=O)NC(CCNC(=O)CCCCCCCC)C(=O)NC(C2=O)CCN)CCN.[H+].[H+].[H+].[H+].[H+].[Cl-].[Cl-].[Cl-].[Cl-]
InChI 1S/C56H98N16O14.5ClH/c1-6-7-8-9-10-11-12-44(76)62-28-22-41-50(80)63-37(18-24-58)49(79)69-42(29-31(2)3)53(83)70-43(30-34-13-15-35(75)16-14-34)54(84)65-36(17-23-57)47(77)64-39(20-26-60)51(81)71-46(33(5)74)56(86)68-40(21-27-61)52(82)72-45(32(4)73)55(85)67-38(19-25-59)48(78)66-41;;;;;/h13-16,31-33,36-43,45-46,73-75H,6-12,17-30,57-61H2,1-5H3,(H,62,76)(H,63,80)(H,64,77)(H,65,84)(H,66,78)(H,67,85)(H,68,86)(H,69,79)(H,70,83)(H,71,81)(H,72,82);5*1H
InChIKey JGDVPHMBJZOZLP-UHFFFAOYSA-N
Properties
Boiling point 1603.7°C at 760 mmHg (Cal.)
Flash point 923.7°C (Cal.)
Market Analysis Reports
List of Reports Available for N-[2-[5,14,17,23,29-Pentakis(2-Aminoethyl)-20,26-Bis(1-Hydroxyethyl)-11-[(4-Hydroxyphenyl)Methyl]-8-(2-Methylpropyl)-3,6,9,12,15,18,21,24,27,30-Decaoxo-1,4,7,10,13,16,19,22,25,28-Decazacyclotriacont-2-Yl]Ethyl]Nonanamide Pentahydrochloride
Related Products
2-(Methylamino)Benzaldehyde  N-[2-Hydroxy-3-[4-(Phenylmethyl)Piperazi...  N,N'-(2,3-Dinitro-1,4-Phenylene) Bisacet...  N-(1-Methyl-2-(4-ethylpiperazino)ethyl)a...  Oxalic Acid; 1-(4-Phenyl-2-Propan-2-Ylpi...  N-(1-Methyl-2-(4-n-butylpiperazino)ethyl...  alpha-Methyl-N-Phenyl-4-(Phenylmethyl)-1...  Oxalic Acid; N-[1-(4-Phenethylpiperazin-...  N-(2-(4-Ethyl-1-Piperazinyl)-1-Methyleth...  N-(1-Methyl-2-(4-isopropylpiperazino)eth...  6-(1-Methyl-2-(4-phenethylpiperazino)eth...  Oxalic Acid; N-[1-[4-(2-Phenylethyl)Pipe...  2-n-Butoxy-6-(N-(1-methyl-2-(4-phenethyl...  Butyl Anthranilate  (8R,9S,10R,13S,14S,17S)-13,17-Dimethyl-1...