Online Database of Chemicals from Around the World

[(2S,3S,4R,6S)-6-[(2R,3S,4R,5R,6S)-6-[[(4R,5S,6S,7R,9R,10R,11E,13E,16R)-4,10-Dihydroxy-5-Methoxy-9,16-Dimethyl-2-Oxo-7-(2-Oxoethyl)-1-Oxacyclohexadeca-11,13-Dien-6-Yl]Oxy]-4-Dimethylamino-5-Hydroxy-2-Methyloxan-3-Yl]Oxy-4-Hydroxy-2,4-Dimethyloxan-3-Yl] Hexanoate
[CAS# 78897-52-6]

Identification
Name [(2S,3S,4R,6S)-6-[(2R,3S,4R,5R,6S)-6-[[(4R,5S,6S,7R,9R,10R,11E,13E,16R)-4,10-Dihydroxy-5-Methoxy-9,16-Dimethyl-2-Oxo-7-(2-Oxoethyl)-1-Oxacyclohexadeca-11,13-Dien-6-Yl]Oxy]-4-Dimethylamino-5-Hydroxy-2-Methyloxan-3-Yl]Oxy-4-Hydroxy-2,4-Dimethyloxan-3-Yl] Hexanoate
Synonyms [(2S,3S,4R,6S)-6-[(2R,3S,4R,5R,6S)-6-[[(4R,5S,6S,7R,9R,10R,11E,13E,16R)-4,10-Dihydroxy-5-Methoxy-9,16-Dimethyl-2-Oxo-7-(2-Oxoethyl)-1-Oxacyclohexadeca-11,13-Dien-6-Yl]Oxy]-4-Dimethylamino-5-Hydroxy-2-Methyl-Tetrahydropyran-3-Yl]Oxy-4-Hydroxy-2,4-Dimethyl-Tetrahydropyran-3-Yl] Hexanoate; Hexanoic Acid [(2S,3S,4R,6S)-6-[[(2R,3S,4R,5R,6S)-6-[[(4R,5S,6S,7R,9R,10R,11E,13E,16R)-4,10-Dihydroxy-5-Methoxy-9,16-Dimethyl-2-Oxo-7-(2-Oxoethyl)-1-Oxacyclohexadeca-11,13-Dien-6-Yl]Oxy]-4-Dimethylamino-5-Hydroxy-2-Methyl-3-Tetrahydropyranyl]Oxy]-4-Hydroxy-2,4-Dimethyl-3-Tetrahydropyranyl] Ester; Hexanoic Acid [(2S,3S,4R,6S)-6-[(2R,3S,4R,5R,6S)-6-[[(4R,5S,6S,7R,9R,10R,11E,13E,16R)-4,10-Dihydroxy-2-Keto-7-(2-Ketoethyl)-5-Methoxy-9,16-Dimethyl-1-Oxacyclohexadeca-11,13-Dien-6-Yl]Oxy]-4-Dimethylamino-5-Hydroxy-2-Methyl-Tetrahydropyran-3-Yl]Oxy-4-Hydroxy-2,4-Dimethyl-Tetrahydropyran-3-Yl] Ester
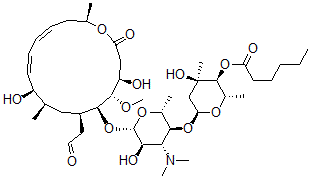
Molecular Structure CAS#: 78897-52-6, [(2S,3S,4R,6S)-6-[(2R,3S,4R,5R,6S)-6-[[(4R,5S,6S,7R,9R,10R,11E,13E,16R)-4,10-Dihydroxy-5-Methoxy-9,16-Dimethyl-2-Oxo-7-(2-Oxoethyl)-1-Oxacyclohexadeca-11,13-Dien-6-Yl]Oxy]-4-Dimethylamino-5-Hydroxy-2-Methyloxan-3-Yl]Oxy-4-Hydroxy-2,4-Dimethyloxan-3-Yl] Hexanoate
Molecular Formula C41H69NO14
Molecular Weight 799.99
CAS Registry Number 78897-52-6
SMILES [C@H]3(N(C)C)[C@H](O[C@@H]1O[C@H]([C@H](OC(=O)CCCCC)[C@](O)(C1)C)C)[C@H](O[C@@H](O[C@H]2[C@H](C[C@H]([C@@H](O)\C=C\C=C\C[C@H](OC(=O)C[C@@H](O)[C@@H]2OC)C)C)CC=O)[C@@H]3O)C
InChI 1S/C41H69NO14/c1-10-11-13-18-31(46)54-39-27(5)52-33(23-41(39,6)49)55-36-26(4)53-40(35(48)34(36)42(7)8)56-37-28(19-20-43)21-24(2)29(44)17-15-12-14-16-25(3)51-32(47)22-30(45)38(37)50-9/h12,14-15,17,20,24-30,33-40,44-45,48-49H,10-11,13,16,18-19,21-23H2,1-9H3/b14-12+,17-15+/t24-,25-,26-,27+,28+,29+,30-,33+,34-,35-,36-,37+,38+,39+,40+,41-/m1/s1
InChIKey CUDHGRIZNLIHBG-TYBIZVFLSA-N
Market Analysis Reports
List of Reports Available for [(2S,3S,4R,6S)-6-[(2R,3S,4R,5R,6S)-6-[[(4R,5S,6S,7R,9R,10R,11E,13E,16R)-4,10-Dihydroxy-5-Methoxy-9,16-Dimethyl-2-Oxo-7-(2-Oxoethyl)-1-Oxacyclohexadeca-11,13-Dien-6-Yl]Oxy]-4-Dimethylamino-5-Hydroxy-2-Methyloxan-3-Yl]Oxy-4-Hydroxy-2,4-Dimethyloxan-3-Yl] Hexanoate
Related Products
2-[3-[(4-Amino-2-Methylpyrimidin-5-Yl)Me...  Sodium p-octylphenolate  [(2S,3S,4R,5R)-5-(2-Amino-6-Oxo-3H-Purin...  1-Methylnaphthalene  3-Hydroxy-3-methyl-4-carboxybutyl-coenzy...  [2-[(8S,9R,10S,11S,13S,14S,16R,17R)-9-Fl...  2,2-Bis(4-Fluorophenyl)-1,1,1-Trifluoroe...  2-Nitropyrene  (2E,4E)-1-Pyrrolidin-1-Yldeca-2,4-Dien-1...  [2-(4-Dimethylaminophenyl)Diazenylphenyl...  [4-(4-Dimethylaminophenyl)Diazenylphenyl...  (4Z)-4-[(2-Diethylaminoethylamino)Methyl...  1,3-Dimethoxy-5-(2-Phenylethenyl)Benzene  (2R,3aS,4aS,5R,5aS,6R,9aR,10S,10aR)-2-(3...  (2R,3aS,4aS,5R,5aS,9aR,10S,10aR)-5-(acet...