Online Database of Chemicals from Around the World

Hydroxy{[5-hydroxy-4-(hydroxymethyl)-6-methyl-3-pyridinyl]methoxy}acetic acid - 3-(nitrooxy)-2,2-bis[(nitrooxy)methyl]propyl nitrate (1:1)
[CAS# 88803-36-5]

Suppliers
CAS#: 88803-36-5
Product: Hydroxy{[5-hydroxy-4-(hydroxymethyl)-6-methyl-3-pyridinyl]methoxy}acetic acid - 3-(nitrooxy)-2,2-bis[(nitrooxy)methyl]propyl nitrate (1:1)
No suppilers available for the product.
Identification
Name Hydroxy{[5-hydroxy-4-(hydroxymethyl)-6-methyl-3-pyridinyl]methoxy}acetic acid - 3-(nitrooxy)-2,2-bis[(nitrooxy)methyl]propyl nitrate (1:1)
Synonyms Acetic acid, hydroxy((5-hydroxy-4-(hydroxymethyl)-6-methyl-3-pyridinyl)methoxy)-, mixt. with 2,2-bis((nitrooxy)methyl)-1,3-propanediyl dinitrate; Mycoril
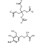
Molecular Structure CAS#: 88803-36-5, Hydroxy{[5-hydroxy-4-(hydroxymethyl)-6-methyl-3-pyridinyl]methoxy}acetic acid - 3-(nitrooxy)-2,2-bis[(nitrooxy)methyl]propyl nitrate (1:1)
Molecular Formula C15H21N5O18
Molecular Weight 559.35
CAS Registry Number 88803-36-5
SMILES [O-][N+](=O)OCC(CO[N+]([O-])=O)(CO[N+]([O-])=O)CO[N+]([O-])=O.O=C(O)C(O)OCc1cnc(c(O)c1CO)C
InChI 1S/C10H13NO6.C5H8N4O12/c1-5-8(13)7(3-12)6(2-11-5)4-17-10(16)9(14)15;10-6(11)18-1-5(2-19-7(12)13,3-20-8(14)15)4-21-9(16)17/h2,10,12-13,16H,3-4H2,1H3,(H,14,15);1-4H2
InChIKey GNIDUJTWLLFYKT-UHFFFAOYSA-N
Properties
Boiling point 426.7°C at 760 mmHg (Cal.)
Flash point 198.8°C (Cal.)
Market Analysis Reports
List of Reports Available for Hydroxy{[5-hydroxy-4-(hydroxymethyl)-6-methyl-3-pyridinyl]methoxy}acetic acid - 3-(nitrooxy)-2,2-bis[(nitrooxy)methyl]propyl nitrate (1:1)
Related Products
Lead(2+) arsenate - tributylstannyl hydr...  N<sup>6</sup>-Methyl-5,6-quinoxalinediam...  N'-hydroxy-5-methyl-3H-imidazole-4-carbo...  Ethyl 3-hydroxy-5-oxo-3-cyclohexene-1-ca...  3-Amino-1H-indazol-6-ol  Methyl L-cysteinate  [2-(1-Piperidinyl)-4-pyridinyl]methanol  2-Methyl-N-(trifluoroacetyl)-L-serine  5-Cyclopropyl-5-phenyl-2,4-imidazolidine...  3-Bromo-N-trityl-1-propanamine  (3aR,4R,6aR)-4-Isopropyl-1,2,3,3a,4,6a-h...  5-Amino-2-methoxy-6-methylnicotinonitril...  5-Amino-6-methyl-2-pyridinol  7-Chloro-4H-pyrimido[1,2-b]pyridazin-4-o...  Methyl (2S)-2-amino-2-methyl-4-pentenoat...