Online Database of Chemicals from Around the World

3,5-Anhydro-1-deoxy-4-O-ethyl-3-methyl-D-xylulose
[CAS# 88995-81-7]

Suppliers
Atomax Chemicals Co., Ltd. China Inquire  
+86 13417589054//+86 13424336463
info@atomaxchem.com,atomax.chemicals@gmail.com,
QQ Chat
Chemical manufacturer
Identification
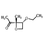
Name 3,5-Anhydro-1-deoxy-4-O-ethyl-3-methyl-D-xylulose
Synonyms 1-((2S,3R)-3-ethoxy-2-methyloxetan-2-yl)ethanone
Molecular Structure CAS#: 88995-81-7, 3,5-Anhydro-1-deoxy-4-O-ethyl-3-methyl-D-xylulose
Molecular Formula C8H14O3
Molecular Weight 158.20
CAS Registry Number 88995-81-7
SMILES CCO[C@@H]1CO[C@]1(C)C(=O)C
InChI 1S/C8H14O3/c1-4-10-7-5-11-8(7,3)6(2)9/h7H,4-5H2,1-3H3/t7-,8-/m1/s1
InChIKey XBICPMXEXOFAPK-HTQZYQBOSA-N
Properties
Density 1.033g/cm3 (Cal.)
Boiling point 210.937°C at 760 mmHg (Cal.)
Flash point 71.601°C (Cal.)
Market Analysis Reports
List of Reports Available for 3,5-Anhydro-1-deoxy-4-O-ethyl-3-methyl-D-xylulose
Related Products
3,5-Anhydro-1-deoxy-4-O-ethyl-3-methyl-L...  (6-Ethoxy-1H-benzimidazol-2-yl)methanol  4-(3,5-dimethylpyrazol-1-yl)-6-phenoxy-p...  3-(4-Methoxyphenyl)-1H-pyrazole-5-carbox...  2-(4-Fluorophenyl)-1H-imidazole-4-carbox...  3-(4-Methylphenyl)-1H-pyrazole-5-carboxy...  [(6-Methylthieno[2,3-d]pyrimidin-4-yl)su...  4-Methyl-5-phenyl-1H-pyrazol-3-amine  (5-Amino-3-methyl-1H-pyrazol-1-yl)acetic...  (2aR,4aS,6aR,9R,9aS,10aR)-3,3,9,10a-Tetr...  2-(2-Oxovinyl)benzaldehyde  6-Chloro-1-[4-(trifluoromethyl)phenyl]-1...  7-Chloro-1-[4-(trifluoromethyl)phenyl]-1...  1-(7,8-Dihydro-1H-[1,4]dioxino[2,3-g]ind...  2-Methyl-2-propanyl 2-isothiocyanatobenz...