Online Database of Chemicals from Around the World

Phenylalanyl-Cyclo(Cysteinyl-Tyrosyltryptophyl-Lysyl-Threonyl-Penicillamine)Threoninamide
[CAS# 96384-03-1]

Suppliers
CAS#: 96384-03-1
Product: Phenylalanyl-Cyclo(Cysteinyl-Tyrosyltryptophyl-Lysyl-Threonyl-Penicillamine)Threoninamide
No suppilers available for the product.
Identification
Name Phenylalanyl-Cyclo(Cysteinyl-Tyrosyltryptophyl-Lysyl-Threonyl-Penicillamine)Threoninamide
Synonyms 10-(4-Aminobutyl)-19-[(2-Amino-3-Phenyl-Propanoyl)Amino]-N-(1-Carbamoyl-2-Hydroxy-Propyl)-7-(1-Hydroxyethyl)-16-[(4-Hydroxyphenyl)Methyl]-13-(1H-Indol-2-Ylmethyl)-3,3-Dimethyl-6,9,12,15,18-Pentaoxo-1,2-Dithia-5,8,11,14,17-Pentazacycloicosane-4-Carboxamide
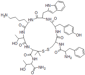
Molecular Structure CAS#: 96384-03-1, Phenylalanyl-Cyclo(Cysteinyl-Tyrosyltryptophyl-Lysyl-Threonyl-Penicillamine)Threoninamide
Molecular Formula C51H69N11O11S2
Molecular Weight 1076.29
CAS Registry Number 96384-03-1
SMILES C1=C([NH]C2=C1C=CC=C2)CC4NC(=O)C(NC(=O)C(NC(=O)C(N)CC3=CC=CC=C3)CSSC(C(NC(=O)C(NC(=O)C(NC4=O)CCCCN)C(O)C)C(=O)NC(C(=O)N)C(O)C)(C)C)CC5=CC=C(O)C=C5
InChI 1S/C51H69N11O11S2/c1-27(63)40(43(54)66)60-50(73)42-51(3,4)75-74-26-39(59-44(67)34(53)22-29-12-6-5-7-13-29)48(71)57-37(23-30-17-19-33(65)20-18-30)46(69)58-38(25-32-24-31-14-8-9-15-35(31)55-32)47(70)56-36(16-10-11-21-52)45(68)61-41(28(2)64)49(72)62-42/h5-9,
InChIKey MOBFVGBRZZZQHB-UHFFFAOYSA-N
Properties
Density 1.412g/cm3 (Cal.)
Boiling point 1489.051°C at 760 mmHg (Cal.)
Flash point 854.347°C (Cal.)
Market Analysis Reports
List of Reports Available for Phenylalanyl-Cyclo(Cysteinyl-Tyrosyltryptophyl-Lysyl-Threonyl-Penicillamine)Threoninamide
Related Products
Phe-Cys-Phe-Trp-Lys-Thr-Pen-Thr-NH2  (Z)-7-[(1R,2R,3R,4S)-3-[(1E)-1-[[(Phenyl...  Butyloxycarbonyl-Phenylalanyl-Phenylalan...  Methylcyclopentadiene  7,9-Dimethylbenz[c]acridine  Crisnatol  Ergosta-7,22-Dien-3-Ol  Dexormaplatin  1-Acetylnaphthyl-2-(4-chlorophenylalanyl...  O-Glucopyranosyl(1-6)-O-Glucopyranosyl(1...  3-Chlorocyclopentene  1,3-Propanediol, 2-((8-Fluoranthenylmeth...  1,3-Propanediol, 2-((8-Fluoranthenylmeth...  1,3-Propanediol, 2-((2-Chrysenylmethyl)A...  1,3-Propanediol, 2-((2-Chrysenylmethyl)A...