Online Database of Chemicals from Around the World

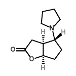
(3aS,4R,6aR)-4-(1-Pyrrolidinyl)hexahydro-2H-cyclopenta[b]furan-2-one
[CAS# 98295-71-7]

Suppliers
Atomax Chemicals Co., Ltd. China Inquire  
+86 13417589054//+86 13424336463
info@atomaxchem.com,atomax.chemicals@gmail.com,
QQ Chat
Chemical manufacturer
Identification
Name (3aS,4R,6aR)-4-(1-Pyrrolidinyl)hexahydro-2H-cyclopenta[b]furan-2-one
Synonyms (3aS,4R,6aR)-4-(pyrrolidin-1-yl)hexahydro-2H-cyclopenta[b]furan-2-one
Molecular Structure CAS#: 98295-71-7, (3aS,4R,6aR)-4-(1-Pyrrolidinyl)hexahydro-2H-cyclopenta[b]furan-2-one
Molecular Formula C11H17NO2
Molecular Weight 195.26
CAS Registry Number 98295-71-7
SMILES O=C1C[C@H]2[C@@H](CC[C@H]2O1)N3CCCC3
InChI 1S/C11H17NO2/c13-11-7-8-9(3-4-10(8)14-11)12-5-1-2-6-12/h8-10H,1-7H2/t8-,9+,10+/m0/s1
InChIKey XIBYNMWDPLOSIY-IVZWLZJFSA-N
Properties
Density 1.191g/cm3 (Cal.)
Boiling point 339.107°C at 760 mmHg (Cal.)
Flash point 141.468°C (Cal.)
Market Analysis Reports
List of Reports Available for (3aS,4R,6aR)-4-(1-Pyrrolidinyl)hexahydro-2H-cyclopenta[b]furan-2-one
Related Products
1,3,5-Trimethyl-1H-pyrazole-4-carbonyl c...  4-[2-(Triethoxysilyl)ethyl]pyridine  4-(Methylsulfanyl)-L-isovaline  1-(Chloroacetyl)-2-azepanone  6,7-Dihydro-4H-thiopyrano[4,3-d][1,3]thi...  5-(2-methoxyethyl)-4-methyl-thiazole  4-Oxo-1,4-dihydro-2-pyridinecarboxylic a...  Methyl 4-hydroxy-2-pyridinecarboxylate  5-Sulfanyl-2-pentanone  trans-4-(4-Chlorophenyl)cyclohexanol  3-Vinylbicyclo[2.2.1]hept-5-ene-2-carbon...  1,4,5,7-Tetrahydro-6H-purin-6-one  1,4,5,7-Tetrahydro-6H-purin-6-one  1-Chloro-3-methyl-1-pentyn-3-yl carbamat...  3-Methyl-3,6-dihydro-1(2H)-pyridinecarbo...