Identification
| Name |
De-(N-Methyl)-8,9-Anhydroerythromycin A 6,9-Hemicetal |
| Synonyms |
(1R,2R,3S,4S,5R,8R,9S,10R,11R)-8-Ethyl-9,10-Dihydroxy-4-[(2R,4R,5S,6S)-5-Hydroxy-4-Methoxy-4,6-Dimethyl-Tetrahydropyran-2-Yl]Oxy-2-[(2S,3R,4S,6R)-3-Hydroxy-6-Methyl-4-Methylamino-Tetrahydropyran-2-Yl]Oxy-1,3,5,9,11,13-Hexamethyl-7,15-Dioxabicyclo[10.2.1]P |
|
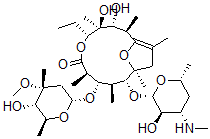
| Molecular Structure |
 |
| Molecular Formula |
C36H63NO12 |
| Molecular Weight |
701.89 |
| CAS Registry Number |
98641-05-5 |
| SMILES |
[C@]13(OC(=C(C1)C)[C@@H]([C@@H](O)[C@](O)([C@H](OC(=O)[C@@H]([C@@H](O[C@@H]2O[C@H]([C@H](O)[C@](OC)(C2)C)C)[C@@H]([C@H]3O[C@@H]4O[C@@H](C[C@H](NC)[C@H]4O)C)C)C)CC)C)C)C |
| InChI |
1S/C36H63NO12/c1-13-24-36(10,42)29(39)19(4)27-17(2)15-35(9,49-27)31(48-33-26(38)23(37-11)14-18(3)44-33)20(5)28(21(6)32(41)46-24)47-25-16-34(8,43-12)30(40)22(7)45-25/h18-26,28-31,33,37-40,42H,13-16H2,1-12H3/t18-,19+,20+,21-,22+,23+,24-,25+,26-,28+,29-,30+, |
| InChIKey |
MJNFBHNVYNPCKI-UCUMWJIBSA-N |
|