Identification
| Name |
(H-Tyr-Lys-Gly-Phe-Glu-NH2)2 |
| Synonyms |
(5S,8S,17R)-17-[[(2S)-2-Amino-3-(4-Hydroxyphenyl)-1-Oxopropyl]Amino]-5-Benzyl-3,6,11,18-Tetraoxo-1,4,7,12-Tetrazacyclooctadecane-8-Carboxamide; (5S,8S,17R)-17-[[(2S)-2-Amino-3-(4-Hydroxyphenyl)-1-Oxopropyl]Amino]-3,6,11,18-Tetraoxo-5-(Phenylmethyl)-1,4,7, |
|
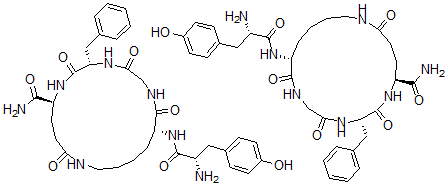
| Molecular Structure |
 |
| Molecular Formula |
C62H82N14O14 |
| Molecular Weight |
1247.42 |
| CAS Registry Number |
99571-07-0 |
| SMILES |
[C@H]2(NC(=O)CNC(=O)[C@H](NC(=O)[C@@H](N)CC1=CC=C(O)C=C1)CCCCNC(=O)CC[C@H](NC2=O)C(=O)N)CC3=CC=CC=C3.[C@H]5(NC(=O)CNC(=O)[C@H](NC(=O)[C@@H](N)CC4=CC=C(O)C=C4)CCCCNC(=O)CC[C@H](NC5=O)C(=O)N)CC6=CC=CC=C6 |
| InChI |
1S/2C31H41N7O7/c2*32-22(16-20-9-11-21(39)12-10-20)29(43)38-24-8-4-5-15-34-26(40)14-13-23(28(33)42)37-31(45)25(17-19-6-2-1-3-7-19)36-27(41)18-35-30(24)44/h2*1-3,6-7,9-12,22-25,39H,4-5,8,13-18,32H2,(H2,33,42)(H,34,40)(H,35,44)(H,36,41)(H,37,45)(H,38,43)/t2* |
| InChIKey |
NCRHEEAAMHKRKB-ALAFWWBQSA-N |
|