Online Database of Chemicals from Around the World

(3S,6S,9R,12S)-6-(4-Aminobutyl)-12-Benzyl-9-Butan-2-Yl-3-[(4-Hydroxyphenyl)Methyl]-1,4,7,10,13,16-Hexazacyclooctadecane-2,5,8,11,14,17-Hexone
[CAS# 99764-53-1]

Suppliers
CAS#: 99764-53-1
Product: (3S,6S,9R,12S)-6-(4-Aminobutyl)-12-Benzyl-9-Butan-2-Yl-3-[(4-Hydroxyphenyl)Methyl]-1,4,7,10,13,16-Hexazacyclooctadecane-2,5,8,11,14,17-Hexone
No suppilers available for the product.
Identification
Name (3S,6S,9R,12S)-6-(4-Aminobutyl)-12-Benzyl-9-Butan-2-Yl-3-[(4-Hydroxyphenyl)Methyl]-1,4,7,10,13,16-Hexazacyclooctadecane-2,5,8,11,14,17-Hexone
Synonyms (3S,6S,9R,12S)-6-(4-Aminobutyl)-3-[(4-Hydroxyphenyl)Methyl]-12-(Phenylmethyl)-9-Sec-Butyl-1,4,7,10,13,16-Hexazacyclooctadecane-2,5,8,11,14,17-Hexone; (3S,6S,9R,12S)-6-(4-Aminobutyl)-12-(Benzyl)-3-(4-Hydroxybenzyl)-9-Sec-Butyl-1,4,7,10,13,16-Hexazacycloocta
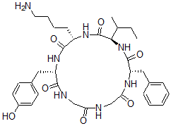
Molecular Structure CAS#: 99764-53-1, (3S,6S,9R,12S)-6-(4-Aminobutyl)-12-Benzyl-9-Butan-2-Yl-3-[(4-Hydroxyphenyl)Methyl]-1,4,7,10,13,16-Hexazacyclooctadecane-2,5,8,11,14,17-Hexone
Molecular Formula C34H47N7O7
Molecular Weight 665.79
CAS Registry Number 99764-53-1
SMILES [C@@H]1(NC(=O)[C@@H](NC(=O)CNC(=O)CNC(=O)[C@@H](NC(=O)[C@@H](NC1=O)CCCCN)CC2=CC=C(O)C=C2)CC3=CC=CC=C3)C(CC)C
InChI 1S/C34H47N7O7/c1-3-21(2)30-34(48)39-25(11-7-8-16-35)32(46)40-26(18-23-12-14-24(42)15-13-23)31(45)37-19-28(43)36-20-29(44)38-27(33(47)41-30)17-22-9-5-4-6-10-22/h4-6,9-10,12-15,21,25-27,30,42H,3,7-8,11,16-20,35H2,1-2H3,(H,36,43)(H,37,45)(H,38,44)(H,39,48)(H
InChIKey STCPTJKVQFCSCB-IAZMYSRMSA-N
Properties
Density 1.163g/cm3 (Cal.)
Boiling point 1124.807°C at 760 mmHg (Cal.)
Flash point 634.06°C (Cal.)
Market Analysis Reports
List of Reports Available for (3S,6S,9R,12S)-6-(4-Aminobutyl)-12-Benzyl-9-Butan-2-Yl-3-[(4-Hydroxyphenyl)Methyl]-1,4,7,10,13,16-Hexazacyclooctadecane-2,5,8,11,14,17-Hexone
Related Products
N-Hex-5-Enyldodecanediamide  4-(4-Methylenecyclohexylmethoxycarbonyl)...  [(4-Methylenecyclohexyl)Methyl] Hydrogen...  N-Hex-5-Enyladipamide  [1-(Hydroxymethyl)-2-[(1-Oxohexadecyl)Ox...  [1-(Hydroxymethyl)-2-[(1-Oxooctadecyl)Ox...  alpha-D-Glucopyranoside, Methyl, Polymer...  2-Dimethylamino-1,3-di(thiocyanato)propa...  2-Fluoro-D-Ristosamine  2-Fluororistosamine  Ethene-1,1,2-Tricarbonitrile  2-Amino-1,9-Dihydro-9-(4-Hydroxy-3-(Hydr...  [1-[[6-(Hydroxymethyl)-5-phosphonooxy-4-...  2-Keto-3-Deoxy-1,7-Dicarboxyheptonic Aci...  3-Mercapto-2-Pyridinesulfonamide