Online Database of Chemicals from Around the World

舒更葡糖杂质9八钠盐
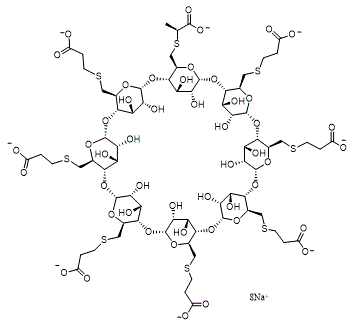
[CAS# 2412952-92-0]

供应商目录
合肥孚亚生物技术有限公司 中国 询价快递  
+86 (551) 6288-8437
+86 18096409024
info@purerechem.com
QQ 交谈
Skype 聊天
微信交流: 18856022585
化学品生产商 (2018年起)
舒更葡糖杂质9八钠盐供应商总目录
基本信息
英文名 Sugammadex Impurity 9 Octasodium salt
产品名称 舒更葡糖杂质9八钠盐
分子结构 CAS 登录号:2412952-92-0, 舒更葡糖杂质9八钠盐
分子式 C72H104O48S9 .8Na
分子量 2210.07
CAS 登录号 2412952-92-0
市场分析报告
请浏览舒更葡糖杂质9八钠盐市场分析报告总目录
相关产品
蔗糖八乙酸酯  蔗糖八硫酸酯钠  蔗糖磷酸化酶  蔗糖硬脂酸酯  苏丹-1  溶剂红 25  苏丹红 7B  舒更葡糖非对映体1亚砜钠  舒更葡糖杂质06  舒更葡糖硫代乳酸杂质1八钠盐  舒更葡糖单羟基杂质(7钠盐)  舒更葡糖钠杂质11  舒更葡糖钠杂质12  舒更葡糖硫代乳酸杂质2八钠盐  舒芬太尼  柠檬酸舒芬太尼  O-琥珀酰亚胺-1,3-二甲基丙基脲四氟硼酸盐  4-甲酰基苯甲酸琥珀酰亚胺基酯  6-肼基烟酸琥珀酰亚胺酯盐酸盐  琥珀酰亚胺基-6-[(碘乙酰基)氨基]己酸酯