Online Database of Chemicals from Around the World

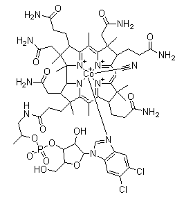
5,6-Dichloro-5,6-didemethylvitamin B12
[CAS# 60607-61-6]

List of Suppliers
Alfa Chemistry USA Inquire  
+1 (201) 478-8534
inquiry@alfa-chemistry.com
Chemical distributor since 2012
chemBlink standard supplier since 2012
Complete supplier list of 5,6-Dichloro-5,6-didemethylvitamin B12
Identification
Name 5,6-Dichloro-5,6-didemethylvitamin B12
Synonyms Cobinamide, cyanide, dihydrogen phosphate (ester), inner salt, 3'-ester with 5,6-dichloro-1-alpha-D-ribofuranosyl-1H-benzimidazol
Molecular Structure CAS # 60607-61-6, 5,6-Dichloro-5,6-didemethylvitamin B12, Cobinamide, cyanide, dihydrogen phosphate (ester), inner salt, 3'-ester with 5,6-dichloro-1-alpha-D-ribofuranosyl-1H-benzimidazol
Molecular Formula C61H82Cl2CoN14O14P
Molecular Weight 1396.20
CAS Registry Number 60607-61-6
Market Analysis Reports
List of Reports Available for 5,6-Dichloro-5,6-didemethylvitamin B12
Related Products
4,4'-Dichlorodibutyl ether  5,6-Dichloro-2-[3-[5,6-dichloro-1-ethyl-1,3-dihydro-3-(3-sulfobutyl)-2H-benzimidazol-2-ylidene]-1-propenyl]-1-ethyl-3-(3-sulfobutyl)-1H-benzimidazolium inner salt sodium salt  5,6-Dichloro-2-[3-[5,6-dichloro-1-ethyl-3-(4-sulfobutyl)-2-benzimidazolinylidene]propenyl]-3-ethyl-1-(4-sulfobutyl)benzimidazolium hydroxide inner salt  5,6-Dichloro-2-[[5,6-dichloro-1-ethyl-3-(4-sulfobutyl)benzimidazol-2-ylidene]propenyl]-1-ethyl-3-(4-sulfobutyl)benzimidazolium inner salt sodium salt  2,4-Dichloro-3-(dichloromethyl)-1-fluoro-5-(trichloromethyl)benzene  4,6-Dichloro-2-(3,5-dichlorophenyl)-1,3,5-triazine  2,4-Dichloro-N-[3,5-dichloro-4-(3-quinolinyloxy)phenyl]benzenesulfonamide  2,3-Dichloro-5,6-dicyano-1,4-benzoquinone  5,6-Dichloro-2,3-dicyanopyrazine  Dichloro(dicyclopentadienyl)platinum(II)  2,2-Dichloro-1,1-diethoxyethane  trans-3,4-Dichloro-N-[2-(diethylamino)cyclohexyl]-N-methylbenzamide  7,8-Dichloro-10-[2-(diethylamino)ethyl]benzo[g]pteridine-2,4(3H,10H)-dione monohydrochloride  N-(beta,beta'-Dichlorodiethylaminomethyl)tetracycline  8,18-Dichloro-N-[3-(diethylamino)propyl]-5,15-diethyl-5,15-dihydro-diindolo[3,2-b:3',2'-m]triphenodioxazinesulfonamide  2,2'-Dichlorodiethyl ether  Dichlorodiethylsilane  Dichlorodiethylstannane  1,5-Dichloro-2,4-difluorobenzene  2,6-Dichloro-1,4-difluorobenzene