Online Database of Chemicals from Around the World

O-4,6-O-Cyclohexylidene-3-deoxy-3-[[(1,1-dimethylethoxy)carbonyl]amino]-alpha-D-glucopyranosyl-(1→6)-O-[2,3,4,6-tetradeoxy-2,6-bis[[(1,1-dimethylethoxy)carbonyl]amino]-alpha-D-erythro-hex-3-enopyranosyl-(1→4)]-2-deoxy-N1,N3-bis[(1,1-dimethylethoxy)carbonyl]-D-streptamine
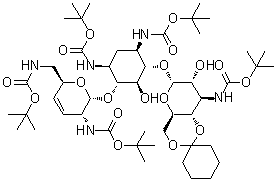
[CAS# 64271-33-6]

Identification
Name O-4,6-O-Cyclohexylidene-3-deoxy-3-[[(1,1-dimethylethoxy)carbonyl]amino]-alpha-D-glucopyranosyl-(1→6)-O-[2,3,4,6-tetradeoxy-2,6-bis[[(1,1-dimethylethoxy)carbonyl]amino]-alpha-D-erythro-hex-3-enopyranosyl-(1→4)]-2-deoxy-N1,N3-bis[(1,1-dimethylethoxy)carbonyl]-D-streptamine
Molecular Structure CAS # 64271-33-6, O-4,6-O-Cyclohexylidene-3-deoxy-3-[[(1,1-dimethylethoxy)carbonyl]amino]-alpha-D-glucopyranosyl-(1→6)-O-[2,3,4,6-tetradeoxy-2,6-bis[[(1,1-dimethylethoxy)carbonyl]amino]-alpha-D-erythro-hex-3-enopyranosyl-(1→4)]-2-deoxy-N1,N3-bis[(1,1-dimethylethoxy)carbonyl]-D-streptamine
Molecular Formula C49H83N5O18
Molecular Weight 1030.21
CAS Registry Number 64271-33-6
Properties
Solubility Very slightly soluble (0.14 g/L) (25 ºC), Calc.*
Density 1.26±0.1 g/cm3 (20 ºC 760 Torr), Calc.*
* Calculated using Advanced Chemistry Development (ACD/Labs) Software V11.02 (©1994-2019 ACD/Labs)
Market Analysis Reports
List of Reports Available for O-4,6-O-Cyclohexylidene-3-deoxy-3-[[(1,1-dimethylethoxy)carbonyl]amino]-alpha-D-glucopyranosyl-(1→6)-O-[2,3,4,6-tetradeoxy-2,6-bis[[(1,1-dimethylethoxy)carbonyl]amino]-alpha-D-erythro-hex-3-enopyranosyl-(1→4)]-2-deoxy-N1,N3-bis[(1,1-dimethylethoxy)carbonyl]-D-streptamine
Related Products
L-Cyclohexylglycinol  Cyclohexylhydrazine  Cyclohexylhydrazine hydrochloride  alpha-Cyclohexyl-alpha-hydroxybenzeneacetic acid 4-(ethylamino)-2-butynyl ester hydrochloride  alpha-Cyclohexyl-alpha-hydroxybenzeneacetic acid 2-propynyl ester  N-Cyclohexylhydroxylamine hydrochloride  4,4'-Cyclohexylidenebis[N,N-bis(4-methylphenyl)aniline]  (2E,2'E)-1,1'-Cyclohexylidenebis[3-(3,4-dimethoxyphenyl)-2-propen-1-one]  4,4'-Cyclohexylidenebis(2-methylphenol)  4,4'-Cyclohexylidenebisphenol  D-alpha,beta-Cyclohexylideneglycerol  2,3-O-Cyclohexylidene-L-lyxonic acid gamma-lactone  4,4'-Cyclohexylidenemethylenediphenol  2,3-O-Cyclohexylidene-D-myo-inositol  alpha-Cyclohexyl-5H-imidazo[5,1-a]isoindole-5-ethanol  3-(Cyclohexyliminomethylideneamino)-N,N-dimethylpropan-1-amine  4-[[[2-(Cyclohexylimino)-4-methyl-3(2H)-thiazolyl]imino]methyl]-1,2,3-benzenetriol  3-Cyclohexyl-1H-indole  3-Cyclohexyl-6-indolecarboxylic acid  Cyclohexyl isocyanate