Identification
| Name |
2,3-Bis(3,7,11,15-Tetramethylhexadecoxy)Propyl 3-Hydroxypropyl Hydrogen Phosphate |
| Synonyms |
Dpg-Propanediol; Phosphoric Acid, Mono(2,3-Bis((3,7,11,15-Tetramethylhexadecyl)Oxy)Propyl) Mono(3-Hydroxypropyl) Ester, Stereoisomer; 2,3-Diphytanyl-Sn-Glycerol-1-Phospho-1'-1',3'-Propanediol |
|
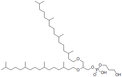
| Molecular Structure |
 |
| Molecular Formula |
C46H95O7P |
| Molecular Weight |
791.23 |
| CAS Registry Number |
120287-14-1 |
| SMILES |
C(O[P](=O)(OCC(COCCC(CCCC(CCCC(CCCC(C)C)C)C)C)OCCC(CCCC(CCCC(CCCC(C)C)C)C)C)O)CCO |
| InChI |
1S/C46H95O7P/c1-38(2)18-11-20-40(5)22-13-24-42(7)26-15-28-44(9)30-34-50-36-46(37-53-54(48,49)52-33-17-32-47)51-35-31-45(10)29-16-27-43(8)25-14-23-41(6)21-12-19-39(3)4/h38-47H,11-37H2,1-10H3,(H,48,49) |
| InChIKey |
ZKPLWHHAZYAADO-UHFFFAOYSA-N |
|