Online Database of Chemicals from Around the World

33-(1,6-Dihydroxy-2-Methyl-Hexyl)-30-Ethyl-1,4,7,10,12,15,19,25,28-Nonamethyl-6,9,18,24-Tetrakis(2-Methylpropyl)-3,21-Dipropan-2-Yl-1,4,7,10 ,13,16,19,22,25,28,31-Undecazacyclotritriacontane-2,5,8,11,14,17,20,23 ,26,29,32-Undecone
[CAS# 121886-75-7]

Identification
Name 33-(1,6-Dihydroxy-2-Methyl-Hexyl)-30-Ethyl-1,4,7,10,12,15,19,25,28-Nonamethyl-6,9,18,24-Tetrakis(2-Methylpropyl)-3,21-Dipropan-2-Yl-1,4,7,10 ,13,16,19,22,25,28,31-Undecazacyclotritriacontane-2,5,8,11,14,17,20,23 ,26,29,32-Undecone
Synonyms 33-(1,6-Dihydroxy-2-Methyl-Hexyl)-30-Ethyl-6,9,18,24-Tetraisobutyl-3,21-Diisopropyl-1,4,7,10,12,15,19,25,28-Nonamethyl-1,4,7,10,13,16,19,22,25,28,31-Undecazacyclotritriacontane-2,5,8,11,14,17,20,23,26,29,32-Undecone; 33-(1,6-Dihydroxy-2-Methylhexyl)-30-Ethyl-6,9,18,24-Tetraisobutyl-3,21-Diisopropyl-1,4,7,10,12,15,19,25,28-Nonamethyl-1,4,7,10,13,16,19,22,25,28,31-Undecazacyclotritriacontane-2,5,8,11,14,17,20,23,26,29,32-Undecone; 33-(1,6-Dihydroxy-2-Methyl-Hexyl)-30-Ethyl-1,4,7,10,12,15,19,25,28-Nonamethyl-6,9,18,24-Tetrakis(2-Methylpropyl)-3,21-Di(Propan-2-Yl)-1,4,7,10,13,16,19,22,25,28,31-Undecazacyclotritriacontane-2,5,8,11,14,17,20,23,26,29,32-Undecone
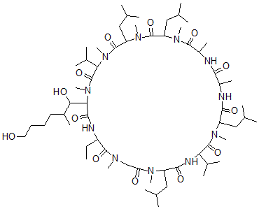
Molecular Structure CAS#: 121886-75-7, 33-(1,6-Dihydroxy-2-Methyl-Hexyl)-30-Ethyl-1,4,7,10,12,15,19,25,28-Nonamethyl-6,9,18,24-Tetrakis(2-Methylpropyl)-3,21-Dipropan-2-Yl-1,4,7,10 ,13,16,19,22,25,28,31-Undecazacyclotritriacontane-2,5,8,11,14,17,20,23 ,26,29,32-Undecone
Molecular Formula C62H113N11O13
Molecular Weight 1220.64
CAS Registry Number 121886-75-7
SMILES C(C1N(C(=O)C(N(C(=O)C(NC(=O)C(NC(=O)C(N(C(=O)C(NC(=O)C(N(C(=O)CN(C(=O)C(NC(=O)C(N(C(=O)C(N(C1=O)C)C(C)C)C)C(O)C(CCCCO)C)CC)C)C)CC(C)C)C(C)C)C)CC(C)C)C)C)C)CC(C)C)C)C(C)C
InChI 1S/C62H113N11O13/c1-24-43-58(82)67(17)33-48(75)68(18)44(29-34(2)3)55(79)66-49(38(10)11)61(85)69(19)45(30-35(4)5)54(78)63-41(15)53(77)64-42(16)57(81)70(20)46(31-36(6)7)59(83)71(21)47(32-37(8)9)60(84)72(22)50(39(12)13)62(86)73(23)51(56(80)65-43)52(76)40(14)27-25-26-28-74/h34-47,49-52,74,76H,24-33H2,1-23H3,(H,63,78)(H,64,77)(H,65,80)(H,66,79)
InChIKey HTHPJMCQQNKDHH-UHFFFAOYSA-N
Properties
Density 1.028g/cm3 (Cal.)
Boiling point 1323.931°C at 760 mmHg (Cal.)
Flash point 754.486°C (Cal.)
Market Analysis Reports
List of Reports Available for 33-(1,6-Dihydroxy-2-Methyl-Hexyl)-30-Ethyl-1,4,7,10,12,15,19,25,28-Nonamethyl-6,9,18,24-Tetrakis(2-Methylpropyl)-3,21-Dipropan-2-Yl-1,4,7,10 ,13,16,19,22,25,28,31-Undecazacyclotritriacontane-2,5,8,11,14,17,20,23 ,26,29,32-Undecone
Related Products
2-(2-Azido-4-Nitrobenzoyl)-1-Myristoylgl...  Diethylenetriamine-pentaacetic acid copp...  2-Amino-6-[(1S,2R)-1,2,3-Trihydroxypropy...  Ethyl 6,7-Dimethyl-3-Oxo-4H-Quinoxaline-...  N-(N-(N-glycyl-D-phenylalanyl)-L-alanyl)...  Ketoconazole Oleate  Diethyl-[2-(3-Phenyl-1,2,4-Oxadiazol-5-Y...  Ecklonialactone A  Ecklonialactone B  Methylchlorodisilanes.(Mixed)  Dimethyl L-Isothiocyanatosuccinate  Zoniclezole  N-Hydroxy-2-Phenyl-1-Hydrazinecarboxamid...  3-Desacetylpipecuronium  6-Difluoromethoxy-7-Piperazinyl-3-Quinol...