Online Database of Chemicals from Around the World

Bipinnatifidusoside F2
[CAS# 125310-01-2]

Suppliers
CAS#: 125310-01-2
Product: Bipinnatifidusoside F2
No suppilers available for the product.
Identification
Name Bipinnatifidusoside F2
Synonyms (2S,3R,4S,5S,6R)-2-[(E,1S)-1-[(10R,12S,13S,14R,17S)-3-[(2R,3R,4S,5S,6R)-4,5-Dihydroxy-6-(Hydroxymethyl)-3-[(2S,3R,4S,5S,6R)-3,4,5-Trihydroxy-6-(Hydroxymethyl)Tetrahydropyran-2-Yl]Oxy-Tetrahydropyran-2-Yl]Oxy-12-Hydroxy-4,4,10,14-Tetramethyl-1,2,3,5,6,7,8,9,11,12,13,15,16,17-Tetradecahydrocyclopenta[A]Phenanthren-17-Yl]-4-Hydroxy-1,5-Dimethyl-Hex-2-Enoxy]-6-(Hydroxymethyl)Tetrahydropyran-3,4,5-Triol; (2S,3R,4S,5S,6R)-2-[(E,1S)-1-[(10R,12S,13S,14R,17S)-3-[[(2R,3R,4S,5S,6R)-4,5-Dihydroxy-6-(Hydroxymethyl)-3-[[(2S,3R,4S,5S,6R)-3,4,5-Trihydroxy-6-(Hydroxymethyl)-2-Tetrahydropyranyl]Oxy]-2-Tetrahydropyranyl]Oxy]-12-Hydroxy-4,4,10,14-Tetramethyl-1,2,3,5,6,7,8,9,11,12,13,15,16,17-Tetradecahydrocyclopenta[A]Phenanthren-17-Yl]-4-Hydroxy-1,5-Dimethylhex-2-Enoxy]-6-(Hydroxymethyl)Tetrahydropyran-3,4,5-Triol; (2S,3R,4S,5S,6R)-2-[(E,1S)-1-[(10R,12S,13S,14R,17S)-3-[(2R,3R,4S,5S,6R)-4,5-Dihydroxy-6-Methylol-3-[(2S,3R,4S,5S,6R)-3,4,5-Trihydroxy-6-Methylol-Tetrahydropyran-2-Yl]Oxy-Tetrahydropyran-2-Yl]Oxy-12-Hydroxy-4,4,10,14-Tetramethyl-1,2,3,5,6,7,8,9,11,12,13,15,16,17-Tetradecahydrocyclopenta[A]Phenanthren-17-Yl]-4-Hydroxy-1,5-Dimethyl-Hex-2-Enoxy]-6-Methylol-Tetrahydropyran-3,4,5-Triol
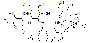
Molecular Structure CAS#: 125310-01-2, Bipinnatifidusoside F2
Molecular Formula C47H80O19
Molecular Weight 949.14
CAS Registry Number 125310-01-2
SMILES [C@H]56[C@@](C4C([C@@]3(C(C(C(O[C@@H]1O[C@@H]([C@@H](O)[C@H](O)[C@H]1O[C@@H]2O[C@@H]([C@@H](O)[C@H](O)[C@H]2O)CO)CO)CC3)(C)C)CC4)C)C[C@@H]5O)(CC[C@@H]6[C@@](O[C@@H]7O[C@@H]([C@@H](O)[C@H](O)[C@H]7O)CO)(\C=C\C(O)C(C)C)C)C
InChI 1S/C47H80O19/c1-20(2)24(51)11-15-47(7,66-42-39(60)36(57)33(54)27(18-49)62-42)22-10-13-46(6)21-8-9-29-44(3,4)30(12-14-45(29,5)23(21)16-25(52)31(22)46)64-43-40(37(58)34(55)28(19-50)63-43)65-41-38(59)35(56)32(53)26(17-48)61-41/h11,15,20-43,48-60H,8-10,12-14,16-19H2,1-7H3/b15-11+/t21?,22-,23?,24?,25-,26+,27+,28+,29?,30?,31+,32+,33+,34+,35-,36-,37-,38+,39+,40+,41-,42-,43-,45+,46+,47-/m0/s1
InChIKey FDBYKTWBCHWRCZ-MPKSCNMJSA-N
Properties
Density 1.42g/cm3 (Cal.)
Boiling point 1049.595°C at 760 mmHg (Cal.)
Flash point 588.574°C (Cal.)
Market Analysis Reports
List of Reports Available for Bipinnatifidusoside F2
Related Products
Drevogenin I  1-(Deoxyguanosin-N(2)-Yl)-2-Aminophenant...  5-Bromo-6-Ethoxy-5,6-Dihydro-2',3'-Isopr...  3-O-(2-Acetamido-2-Deoxygalactopyranosyl...  3-Carboxyphenyl Phenylacetamidomethylpho...  gamma-Tert-Butyloxy-Glu-Gly-Arg-3-Carbox...  4-Methylumbelliferyl Phosphate, Dilithiu...  Coetsoidin A  8-Chloro-7-hydroxy-3-methyl-5-(7-benzofu...  Rhizochaline  Tritin trioxide  1,3,5,7,2,4,6,8-tetraoxatetrastannocane  Cortisol 21-Sulfate  4-Methoxycarbonyl-Benzyltriphenylphospho...  1-Methyl-2beta-Benzyl-5beta-Nonylpyrroli...