Identification
| Name |
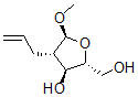
(2R,3S,4S,5S)-2-(Hydroxymethyl)-5-Methoxy-4-Prop-2-Enyloxolan-3-Ol |
| Synonyms |
(2R,3S,4S,5S)-4-Allyl-2-(Hydroxymethyl)-5-Methoxy-Tetrahydrofuran-3-Ol; (2R,3S,4S,5S)-4-Allyl-2-(Hydroxymethyl)-5-Methoxy-3-Tetrahydrofuranol; (2R,3S,4S,5S)-4-Allyl-5-Methoxy-2-Methylol-Tetrahydrofuran-3-Ol |
|
| Molecular Structure |
 |
| Molecular Formula |
C9H16O4 |
| Molecular Weight |
188.22 |
| CAS Registry Number |
128790-83-0 |
| SMILES |
[C@@H]1([C@@H]([C@H](O[C@@H]1CO)OC)CC=C)O |
| InChI |
1S/C9H16O4/c1-3-4-6-8(11)7(5-10)13-9(6)12-2/h3,6-11H,1,4-5H2,2H3/t6-,7+,8-,9-/m0/s1 |
| InChIKey |
WZPOULYBJOLAJY-KZVJFYERSA-N |
|