Online Database of Chemicals from Around the World

Polymixin
[CAS# 1406-11-7]

Suppliers
Alfa Chemistry USA Inquire  
+1 (201) 478-8534
inquiry@alfa-chemistry.com
Chemical distributor since 2012
chemBlink standard supplier since 2012
BOC Sciences USA Inquire  
+1 (631) 485-4226
info@bocsci.com
Skype Chat
Chemical distributor
chemBlink massive supplier since 2012
Identification
Name Polymixin
Synonyms [(1S)-3-Amino-1-[[(1S,2R)-1-[[(1S)-3-Amino-1-[[(3S,6S,9S,12S,15R,18S,21S)-6,9,18-Tris(2-Aminoethyl)-3-(1-Hydroxyethyl)-12-Isobutyl-2,5,8,11,14,17,20-Heptaoxo-15-(Phenylmethyl)-1,4,7,10,13,16,19-Heptazacyclotricos-21-Yl]Carbamoyl]Propyl]Carbamoyl]-2-Hydroxy-Propyl]Carbamoyl]Propyl]Carbamic Acid; [(1S)-3-Amino-1-[[[(1S,2R)-1-[[[(1S)-3-Amino-1-[Oxo-[[(3S,6S,9S,12S,15R,18S,21S)-6,9,18-Tris(2-Aminoethyl)-3-(1-Hydroxyethyl)-12-Isobutyl-2,5,8,11,14,17,20-Heptaoxo-15-(Phenylmethyl)-1,4,7,10,13,16,19-Heptazacyclotricos-21-Yl]Amino]Methyl]Propyl]Amino]-Oxomethyl]-2-Hydroxypropyl]Amino]-Oxomethyl]Propyl]Carbamic Acid; [(1S)-3-Amino-1-[[(1S,2R)-1-[[(1S)-3-Amino-1-[[(3S,6S,9S,12S,15R,18S,21S)-6,9,18-Tris(2-Aminoethyl)-15-(Benzyl)-3-(1-Hydroxyethyl)-12-Isobutyl-2,5,8,11,14,17,20-Heptaketo-1,4,7,10,13,16,19-Heptazacyclotricos-21-Yl]Carbamoyl]Propyl]Carbamoyl]-2-Hydroxy-Propyl]Carbamoyl]Propyl]Carbamic Acid
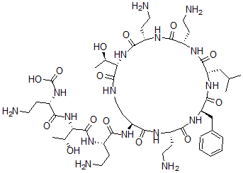
Molecular Structure CAS#: 1406-11-7, Polymixin
Molecular Formula C48H82N16O14
Molecular Weight 1107.27
CAS Registry Number 1406-11-7
SMILES [C@@H]1(NC(=O)[C@@H](NC(=O)[C@@H](NC(=O)[C@@H](NC(=O)[C@@H](NC(=O)[C@@H](NC(=O)O)CCN)[C@H](O)C)CCN)CCNC(=O)[C@@H](NC(=O)[C@@H](NC(=O)[C@@H](NC(=O)[C@@H](NC1=O)CC(C)C)CCN)CCN)[C@H](O)C)CCN)CC2=CC=CC=C2
InChI 1S/C48H82N16O14/c1-24(2)22-34-44(73)57-28(10-16-49)38(67)56-31(13-19-52)42(71)63-36(25(3)65)46(75)54-21-15-33(41(70)55-29(11-17-50)40(69)61-35(45(74)60-34)23-27-8-6-5-7-9-27)58-39(68)30(12-18-51)59-47(76)37(26(4)66)64-43(72)32(14-20-53)62-48(77)78/h5-9,24-26,28-37,62,65-66H,10-23,49-53H2,1-4H3,(H,54,75)(H,55,70)(H,56,67)(H,57,73)(H,58,68)(H,59,76)(H,60,74)(H,61,69)(H,63,71)(H,64,72)(H,77,78)/t25-,26-,28+,29+,30+,31+,32+,33+,34+,35-,36+,37+/m1/s1
InChIKey WGRSQPZAOZIPGC-VVYZPAMCSA-N
Market Analysis Reports
List of Reports Available for Polymixin
Related Products
Vitamin D  Ethyl 4-Isopropylphenylacetate  3-Aminobenzhydrazide  (2R)-2-Acetamido-3-[4-[[2-[2-[2-(Hydroxy...  2-Phenylbenzene-1,4-Diol  N,N,4-Trimethyl-Benzamide  (4R,5R,6E)-6-(2-Hydroxyethylidene)-4-Met...  beta,p-Dichlorobenzene-2-Propenal  1-[2-Methyl-1-[[2-[2-[2-(Oxidoamino)-2-O...  1-[2-Methyl-1-[[2-[2-[2-(Oxidoamino)-2-O...  4-Chloro-2H-1-Benzothiopyran-3-Carboxald...  Magnesium Bis(2-Ethoxyethanolate)  Diethyl 2-Phenylsulfanylpropanedioate  (E)-3-Bromostilbene  (E)-1-Phenyl-2-M-Tolylethene