Online Database of Chemicals from Around the World

Tetrasodium 25,26,27,28-Tetrahydroxy-2,8,14,20-Tetrathiapentacyclo[19.3.1.13,7.19,13.115,19]Octacosa-1(25),3(28),4,6,9(27),10,12,15(26),16,18,21,23-Dodecaene-5,11,17,23-Tetrasulfonate
[CAS# 211561-04-5]

Suppliers
Alfa Chemistry USA Inquire  
+1 (201) 478-8534
inquiry@alfa-chemistry.com
Chemical distributor since 2012
chemBlink standard supplier since 2012
International Laboratory Limited USA Inquire  
+1 (650) 278-9963
admin@intlab.org
Chemical manufacturer since 2002
Identification
Classification Chemical reagent >> Organic reagent >> Sulfonate / sulfinate
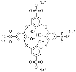
Name Tetrasodium 25,26,27,28-Tetrahydroxy-2,8,14,20-Tetrathiapentacyclo[19.3.1.13,7.19,13.115,19]Octacosa-1(25),3(28),4,6,9(27),10,12,15(26),16,18,21,23-Dodecaene-5,11,17,23-Tetrasulfonate
Synonyms 4-Sulfothiacalix[4]arene Sodium Salt
Molecular Structure CAS#: 211561-04-5, Tetrasodium 25,26,27,28-Tetrahydroxy-2,8,14,20-Tetrathiapentacyclo[19.3.1.1<Sup>3,7</Sup>.1<Sup>9,13</Sup>.1<Sup>15,19</Sup>]Octacosa-1(25),3(28),4,6,9(27),10,12,15(26),16,18,21,23-Dodecaene-5,11,17,23-Tetrasulfonate
Molecular Formula C24H12Na4O16S8
Molecular Weight 904.82
CAS Registry Number 211561-04-5
SMILES [Na+].[Na+].[Na+].[Na+].[O-]S(=O)(=O)c1cc2Sc5cc(cc(Sc4c(O)c(Sc3c(O)c(Sc(c1)c2O)cc(c3)S([O-])(=O)=O)cc(c4)S([O-])(=O)=O)c5O)S([O-])(=O)=O
InChI 1S/C24H16O16S8.4Na/c25-21-13-1-9(45(29,30)31)2-14(21)42-17-5-11(47(35,36)37)6-18(23(17)27)44-20-8-12(48(38,39)40)7-19(24(20)28)43-16-4-10(46(32,33)34)3-15(41-13)22(16)26;;;;/h1-8,25-28H,(H,29,30,31)(H,32,33,34)(H,35,36,37)(H,38,39,40);;;;/q;4*+1/p-4
InChIKey LWAHXJLVBWBJLL-UHFFFAOYSA-J
Properties
Melting point 390°C (Expl.)
Refractive index (Cal.)
Safety Data
SDS Available
Market Analysis Reports
List of Reports Available for Tetrasodium 25,26,27,28-Tetrahydroxy-2,8,14,20-Tetrathiapentacyclo[19.3.1.13,7.19,13.115,19]Octacosa-1(25),3(28),4,6,9(27),10,12,15(26),16,18,21,23-Dodecaene-5,11,17,23-Tetrasulfonate
Related Products
Methyl (4S)-6-Chloro-4-(Cyclopropylethyn...  (1R,2S,4R,5S)-2,4-Difluoro-8-Oxabicyclo[...  (1R,2S,4R,5S)-2,4-Difluorobicyclo[3.2.1]...  3-(Carboxyamino)-2-Thiophenecarboxylic A...  5-Ethyl-2-Furohydrazide  (3-Formyl-5-Nitro-2-Thienyl)Boronic Acid  4-(3-Azetidinyl)Thiomorpholine 1,1-Dioxi...  3-Amino-5-(Methylamino)Isonicotinonitril...  1-[(1R,3R)-3-Hydroxycyclopentyl]Ethanone  Ethyl 4-Chloro-alpha-Methyl-L-Phenylalan...  1,4-Diazepane-1,4-Diamine  N-(Cyanomethyl)-4-Ethoxybenzamide  N,N'-2,3-Piperazinediyldiformamide  2-Fluoroethyl Cyclobutanecarboxylate  (2S)-6,6-Dimethyl-1,5-Diazabicyclo[3.1.0...