Online Database of Chemicals from Around the World

(2S)-6-Amino-2-[[1-[(4R,7S,10S,13S,16S,19R)-19-Amino-7-(2-Amino-2-Oxoethyl)-10-(3-Amino-3-Oxopropyl)-16-[(4-Hydroxyphenyl)Methyl]-6,9,12,15,18-Pentaoxo-13-(Phenylmethyl)1,2-Dithia-5,8,11,14,17-Pentazacycloicosane-4-Carbonyl]Pyrrolidine-2-Carbonyl]Amino]Hexanoic Acid
[CAS# 32472-43-8]

Suppliers
CAS#: 32472-43-8
Product: (2S)-6-Amino-2-[[1-[(4R,7S,10S,13S,16S,19R)-19-Amino-7-(2-Amino-2-Oxoethyl)-10-(3-Amino-3-Oxopropyl)-16-[(4-Hydroxyphenyl)Methyl]-6,9,12,15,18-Pentaoxo-13-(Phenylmethyl)1,2-Dithia-5,8,11,14,17-Pentazacycloicosane-4-Carbonyl]Pyrrolidine-2-Carbonyl]Amino]Hexanoic Acid
No suppilers available for the product.
Identification
Name (2S)-6-Amino-2-[[1-[(4R,7S,10S,13S,16S,19R)-19-Amino-7-(2-Amino-2-Oxoethyl)-10-(3-Amino-3-Oxopropyl)-16-[(4-Hydroxyphenyl)Methyl]-6,9,12,15,18-Pentaoxo-13-(Phenylmethyl)1,2-Dithia-5,8,11,14,17-Pentazacycloicosane-4-Carbonyl]Pyrrolidine-2-Carbonyl]Amino]Hexanoic Acid
Synonyms (2S)-6-Amino-2-[[1-[(4R,7S,10S,13S,16S,19R)-19-Amino-7-(2-Amino-2-Oxo-Ethyl)-10-(3-Amino-3-Oxo-Propyl)-16-[(4-Hydroxyphenyl)Methyl]-6,9,12,15,18-Pentaoxo-13-(Phenylmethyl)1,2-Dithia-5,8,11,14,17-Pentazacycloicosane-4-Carbonyl]Pyrrolidine-2-Carbonyl]Amino]Hexanoic Acid; (2S)-6-Amino-2-[[[1-[[(4R,7S,10S,13S,16S,19R)-19-Amino-7-(2-Amino-2-Oxoethyl)-10-(3-Amino-3-Oxopropyl)-16-[(4-Hydroxyphenyl)Methyl]-6,9,12,15,18-Pentaoxo-13-(Phenylmethyl)-1,2-Dithia-5,8,11,14,17-Pentazacycloicos-4-Yl]-Oxomethyl]-2-Pyrrolidinyl]-Oxomethyl]Amino]Hexanoic Acid; (2S)-6-Amino-2-[[1-[(4R,7S,10S,13S,16S,19R)-19-Amino-7-(2-Amino-2-Keto-Ethyl)-10-(3-Amino-3-Keto-Propyl)-13-(Benzyl)-16-(4-Hydroxybenzyl)-6,9,12,15,18-Pentaketo-1,2-Dithia-5,8,11,14,17-Pentazacycloicosane-4-Carbonyl]Pyrrolidine-2-Carbonyl]Amino]Hexanoic Acid
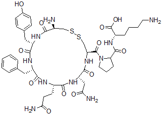
Molecular Structure CAS#: 32472-43-8, (2S)-6-Amino-2-[[1-[(4R,7S,10S,13S,16S,19R)-19-Amino-7-(2-Amino-2-Oxoethyl)-10-(3-Amino-3-Oxopropyl)-16-[(4-Hydroxyphenyl)Methyl]-6,9,12,15,18-Pentaoxo-13-(Phenylmethyl)1,2-Dithia-5,8,11,14,17-Pentazacycloicosane-4-Carbonyl]Pyrrolidine-2-Carbonyl]Amino]Hexanoic Acid
Molecular Formula C44H61N11O12S2
Molecular Weight 1000.15
CAS Registry Number 32472-43-8
SMILES [C@H]1(NC(=O)[C@@H](NC(=O)[C@@H](N)CSSC[C@H](NC(=O)[C@@H](NC(=O)[C@@H](NC1=O)CCC(=O)N)CC(=O)N)C(=O)N2C(C(=O)N[C@H](C(=O)O)CCCCN)CCC2)CC3=CC=C(O)C=C3)CC4=CC=CC=C4
InChI 1S/C44H61N11O12S2/c45-17-5-4-9-29(44(66)67)50-42(64)34-10-6-18-55(34)43(65)33-23-69-68-22-27(46)37(59)51-30(20-25-11-13-26(56)14-12-25)40(62)52-31(19-24-7-2-1-3-8-24)39(61)49-28(15-16-35(47)57)38(60)53-32(21-36(48)58)41(63)54-33/h1-3,7-8,11-14,27-34,56H,4-6,9-10,15-23,45-46H2,(H2,47,57)(H2,48,58)(H,49,61)(H,50,64)(H,51,59)(H,52,62)(H,53,60)(H,54,63)(H,66,67)/t27-,28-,29-,30-,31-,32-,33-,34?/m0/s1
InChIKey WPCFWQWRFMYCKC-HXAPPMQUSA-N
Properties
Density 1.3±0.1g/cm3 (Cal.)
Boiling point 1519.4±65.0°C at 760 mmHg (Cal.)
Flash point 872.7±34.3°C (Cal.)
Market Analysis Reports
List of Reports Available for (2S)-6-Amino-2-[[1-[(4R,7S,10S,13S,16S,19R)-19-Amino-7-(2-Amino-2-Oxoethyl)-10-(3-Amino-3-Oxopropyl)-16-[(4-Hydroxyphenyl)Methyl]-6,9,12,15,18-Pentaoxo-13-(Phenylmethyl)1,2-Dithia-5,8,11,14,17-Pentazacycloicosane-4-Carbonyl]Pyrrolidine-2-Carbonyl]Amino]Hexanoic Acid
Related Products
1-[[Bis(Diethoxyphosphoryl)-Ethylsulfany...  Disodium 3,4,6-Trichloro-2-[(2,3,5-Trich...  (2E)-2-Hydroxy-2-[(8S,9S,10R,13S,14S)-11...  N-(6-Acetamido-2-Amino-5-Nitrosopyrimidi...  Batrachotoxinin A, 20-alpha-(4,5-Dimethy...  2-Amino-1-methylpyridinium p-toluenesulf...  2-(4-Fluorophenyl)-5-Phenyl-1,3-Oxazole  1-(2-Diethylaminoethylamino)Thioxanthen-...  2,2,2-Trifluoroethyl radical  1,1,1,2,3,3,4,4,5,5,6,6,7,7,8,8,9,9,10,1...  Fluoro 2-(5-Oxo-2H-Furan-2-Yl)Acetate  1,1,1,2,3,3,4,4,5,5,6,6,7,7,8,8,9,9,10,1...  (1S,6R,8R,9R)-8-[6-Amino-8-(Phenylmethyl...  Ethyl 3-(4-Hydroxyphenyl)-2-[[2-(Phenylm...  plumbous docosanoate