Online Database of Chemicals from Around the World

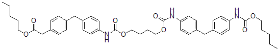
2-[4-[4-[4-[[4-[4-(Amoxycarbonylamino)benzyl]phenyl]carbamoyloxy]butoxycarbonylamino]benzyl]phenyl]acetic acid amyl ester
[CAS# 61789-63-7]

Identification
Name 2-[4-[4-[4-[[4-[4-(Amoxycarbonylamino)benzyl]phenyl]carbamoyloxy]butoxycarbonylamino]benzyl]phenyl]acetic acid amyl ester
Synonyms 2-[4-[[4-[[Oxo-[4-[Oxo-[[4-[[4-[(Oxo-Pentoxymethyl)Amino]Phenyl]Methyl]Phenyl]Amino]Methoxy]Butoxy]Methyl]Amino]Phenyl]Methyl]Phenyl]Acetic Acid Pentyl Ester; 2-[4-[4-[4-[[4-[4-(Amoxycarbonylamino)Benzyl]Phenyl]Carbamoyloxy]Butoxycarbonylamino]Benzyl]Phenyl]Acetic Acid Amyl Ester; Pentyl 2-[4-[[4-[4-[[4-[[4-(Pentoxycarbonylamino)Phenyl]Methyl]Phenyl]Carbamoyloxy]Butoxycarbonylamino]Phenyl]Methyl]Phenyl]Ethanoate
Molecular Structure CAS#: 61789-63-7, 2-[4-[4-[4-[[4-[4-(Amoxycarbonylamino)benzyl]phenyl]carbamoyloxy]butoxycarbonylamino]benzyl]phenyl]acetic acid amyl ester
Molecular Formula C45H55N3O8
Molecular Weight 765.94
CAS Registry Number 61789-63-7
SMILES C2=C(CC1=CC=C(NC(OCCCCC)=O)C=C1)C=CC(=C2)NC(OCCCCOC(=O)NC4=CC=C(CC3=CC=C(C=C3)CC(OCCCCC)=O)C=C4)=O
InChI 1S/C45H55N3O8/c1-3-5-7-27-53-42(49)33-38-13-11-34(12-14-38)31-35-15-21-40(22-16-35)47-44(51)55-29-9-10-30-56-45(52)48-41-25-19-37(20-26-41)32-36-17-23-39(24-18-36)46-43(50)54-28-8-6-4-2/h11-26H,3-10,27-33H2,1-2H3,(H,46,50)(H,47,51)(H,48,52)
InChIKey CWEFIMQKSZFZNY-UHFFFAOYSA-N
Properties
Density 1.187g/cm3 (Cal.)
Boiling point 775.399°C at 760 mmHg (Cal.)
Flash point 422.746°C (Cal.)
Market Analysis Reports
List of Reports Available for 2-[4-[4-[4-[[4-[4-(Amoxycarbonylamino)benzyl]phenyl]carbamoyloxy]butoxycarbonylamino]benzyl]phenyl]acetic acid amyl ester
Related Products
3-Ethoxy-N,N-Diethyl-4-Nitrosoaniline  6-(Dimethylamino)-2-[2-(2,5-Dimethyl-1-P...  4-(3-Morpholinylmethyl)-2,5-Xylenol Hydr...  (2-Hydroxy-1-Methyl-2,3-Diphenylpropyl)A...  N,N'-[(9,10-Dihydro-9,10-Dioxoanthracene...  3-Oxo-3-Phenyl-N-[4-[[(p-Tolyl)Sulphonyl...  Sodium 1-Methyl-10-Sulphooctadecanoate  Ditridecyl Maleate  Ethyl 2-Cyano-3-Methylhept-4-Ynoate  N-Tetradecyl-beta-Alanine, Compound With...  1,8-Dinitro-4,5-Bis(2,4-Dinitrophenoxy)A...  [(2-Hydroxyethyl)Amino]Phenylmercury Ace...  Butan-2-Yl 2-(2,4,5-Trichlorophenoxy)Ace...  Pentasodium Pentahydrogen [[(Phosphonato...  Cinnamyl Tiglate