Online Database of Chemicals from Around the World

3'''-O-[3-C-Methyl-4-O-(1-Oxopropyl)-2,6-Dideoxy-alpha-L-Arabino-Hexopyranosyl]-7-Methylolivomycin D
[CAS# 64967-61-9]

Suppliers
CAS#: 64967-61-9
Product: 3'''-O-[3-C-Methyl-4-O-(1-Oxopropyl)-2,6-Dideoxy-alpha-L-Arabino-Hexopyranosyl]-7-Methylolivomycin D
No suppilers available for the product.
Identification
Name 3'''-O-[3-C-Methyl-4-O-(1-Oxopropyl)-2,6-Dideoxy-alpha-L-Arabino-Hexopyranosyl]-7-Methylolivomycin D
Synonyms [6-[6-[6-[[6-[5-Acetoxy-4-(4-Hydroxy-5-Methoxy-6-Methyl-Tetrahydropyran-2-Yl)Oxy-6-Methyl-Tetrahydropyran-2-Yl]Oxy-3-(3,4-Dihydroxy-1-Methoxy-2-Oxo-Pentyl)-8,9-Dihydroxy-7-Methyl-1-Oxo-3,4-Dihydro-2H-Anthracen-2-Yl]Oxy]-3-Hydroxy-2-Methyl-Tetrahydropyran-4-Yl]Oxy-3-Hydroxy-2-Methyl-Tetrahydropyran-4-Yl]Oxy-4-Hydroxy-2,4-Dimethyl-Tetrahydropyran-3-Yl] Propanoate; Propanoic Acid [6-[[6-[[6-[[6-[[5-Acetoxy-4-[(4-Hydroxy-5-Methoxy-6-Methyl-2-Tetrahydropyranyl)Oxy]-6-Methyl-2-Tetrahydropyranyl]Oxy]-3-(3,4-Dihydroxy-1-Methoxy-2-Oxopentyl)-8,9-Dihydroxy-7-Methyl-1-Oxo-3,4-Dihydro-2H-Anthracen-2-Yl]Oxy]-3-Hydroxy-2-Methyl-4-Tetrahydropyranyl]Oxy]-3-Hydroxy-2-Methyl-4-Tetrahydropyranyl]Oxy]-4-Hydroxy-2,4-Dimethyl-3-Tetrahydropyranyl] Ester; Propionic Acid [6-[6-[6-[[6-[5-Acetoxy-4-(4-Hydroxy-5-Methoxy-6-Methyl-Tetrahydropyran-2-Yl)Oxy-6-Methyl-Tetrahydropyran-2-Yl]Oxy-3-(3,4-Dihydroxy-2-Keto-1-Methoxy-Pentyl)-8,9-Dihydroxy-1-Keto-7-Methyl-3,4-Dihydro-2H-Anthracen-2-Yl]Oxy]-3-Hydroxy-2-Methyl-Tetrahydropyran-4-Yl]Oxy-3-Hydroxy-2-Methyl-Tetrahydropyran-4-Yl]Oxy-4-Hydroxy-2,4-Dimethyl-Tetrahydropyran-3-Yl] Ester
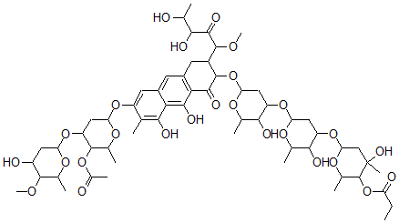
Molecular Structure CAS#: 64967-61-9, 3'''-O-[3-C-Methyl-4-O-(1-Oxopropyl)-2,6-Dideoxy-alpha-L-Arabino-Hexopyranosyl]-7-Methylolivomycin D
Molecular Formula C58H84O26
Molecular Weight 1197.29
CAS Registry Number 64967-61-9
SMILES C1=C6C(=C(O)C5=C1CC(C(OC4OC(C(O)C(OC3OC(C(O)C(OC2OC(C(OC(=O)CC)C(O)(C2)C)C)C3)C)C4)C)C5=O)C(OC)C(=O)C(O)C(O)C)C(=C(C(=C6)OC8OC(C(OC(=O)C)C(OC7OC(C(OC)C(O)C7)C)C8)C)C)O
InChI 1S/C58H84O26/c1-13-38(62)83-57-28(8)77-43(21-58(57,10)70)81-36-18-40(73-24(4)49(36)66)80-35-19-42(74-25(5)48(35)65)84-56-32(55(72-12)52(69)47(64)23(3)59)15-30-14-31-16-34(22(2)46(63)44(31)50(67)45(30)51(56)68)79-41-20-37(54(27(7)76-41)78-29(9)60)82-39-17-33(61)53(71-11)26(6)75-39/h14,16,23-28,32-33,35-37,39-43,47-49,53-57,59,61,63-67,70H,13,15,17-21H2,1-12H3
InChIKey BDOITUPYCCZVMN-UHFFFAOYSA-N
Properties
Density 1.42g/cm3 (Cal.)
Boiling point 1152.293°C at 760 mmHg (Cal.)
Flash point 310.775°C (Cal.)
Market Analysis Reports
List of Reports Available for 3'''-O-[3-C-Methyl-4-O-(1-Oxopropyl)-2,6-Dideoxy-alpha-L-Arabino-Hexopyranosyl]-7-Methylolivomycin D
Related Products
(6Z)-6-(2,6-Diphenyl-1,3-Diazinan-4-Ylid...  (6Z)-6-[2,6-Bis(4-Methoxyphenyl)-1,3-Dia...  (5Z)-5-Benzylidene-4-(4-Methoxyphenyl)-2...  3,3'-Dichlorobenzidine Bis(Sulphate)  [3,3'-Dimethyl[1,1'-Biphenyl]-4,4'-Diyl]...  1-[(1R,6R)-6-Benzyl-4,4-Dimethyl-1-Cyclo...  (24R)-5alpha-Lanost-8-Ene-2alpha,3beta,2...  (2R,3R,10S,12S,13R,14R,17R)-17-[(2R,5R)-...  (24R)-5alpha-Lanost-8-Ene-2alpha,3beta,1...  Sodium N-(2-Carboxyethyl)-N-[3-(Decyloxy...  8-Methyl-5-Nitroquinoline  Ethyl 2-[3-[Bis(2-Chloroethyl)Amino]Phen...  3-[3-[Bis(2-Chloroethyl)Amino]Phenoxy]Pr...  N,N-Bis(2-Chloroethyl)-4-Methylthioanili...  1-Fluoro-5-Methylchrysene