Online Database of Chemicals from Around the World

Vacidin A
[CAS# 66120-71-6]

Suppliers
CAS#: 66120-71-6
Product: Vacidin A
No suppilers available for the product.
Identification
Name Vacidin A
Synonyms (19Z,21Z,23E,25E,27E,29E,31E)-33-(4-Amino-3,5-Dihydroxy-6-Methyl-Tetrahydropyran-2-Yl)Oxy-17-[6-(4-Aminophenyl)-4-Hydroxy-1-Methyl-6-Oxo-Hexyl]-1,3,5,7,9,13,37-Heptahydroxy-18-Methyl-11,15-Dioxo-16,39-Dioxabicyclo[33.3.1]Nonatriaconta-19,21,23,25,27,29,31-Heptaene-36-Carboxylic Acid; (19Z,21Z,23E,25E,27E,29E,31E)-33-[(4-Amino-3,5-Dihydroxy-6-Methyl-2-Tetrahydropyranyl)Oxy]-17-[6-(4-Aminophenyl)-4-Hydroxy-1-Methyl-6-Oxohexyl]-1,3,5,7,9,13,37-Heptahydroxy-18-Methyl-11,15-Dioxo-16,39-Dioxabicyclo[33.3.1]Nonatriaconta-19,21,23,25,27,29,31-Heptaene-36-Carboxylic Acid; (19Z,21Z,23E,25E,27E,29E,31E)-33-(4-Amino-3,5-Dihydroxy-6-Methyl-Tetrahydropyran-2-Yl)Oxy-17-[6-(4-Aminophenyl)-4-Hydroxy-6-Keto-1-Methyl-Hexyl]-1,3,5,7,9,13,37-Heptahydroxy-11,15-Diketo-18-Methyl-16,39-Dioxabicyclo[33.3.1]Nonatriaconta-19,21,23,25,27,29,31-Heptaene-36-Carboxylic Acid
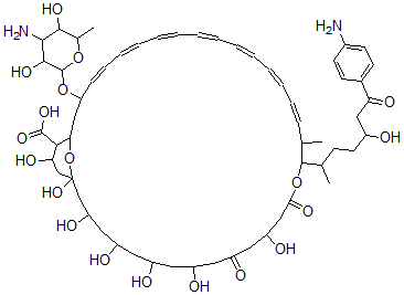
Molecular Structure CAS#: 66120-71-6, Vacidin A
Molecular Formula C58H84N2O19
Molecular Weight 1113.30
CAS Registry Number 66120-71-6
SMILES C4=C(C(=O)CC(O)CCC(C3OC(=O)CC(O)CC(=O)CC(O)CC(O)CC(O)CC(O)CC1(OC(C(C(O)C1)C(=O)O)CC(OC2OC(C(O)C(N)C2O)C)\C=C/C=C\C=C/C=C\C=C/C=C\C=C/C3C)O)C)C=CC(=C4)N
InChI 1S/C58H84N2O19/c1-34-16-14-12-10-8-6-4-5-7-9-11-13-15-17-46(77-57-54(72)52(60)53(71)36(3)76-57)31-49-51(56(73)74)48(69)33-58(75,79-49)32-45(67)28-43(65)26-41(63)24-40(62)25-42(64)27-44(66)30-50(70)78-55(34)35(2)18-23-39(61)29-47(68)37-19-21-38(59)22-20-37/h4-17,19-22,34-36,39-41,43-46,48-49,51-55,57,61-63,65-67,69,71-72,75H,18,23-33,59-60H2,1-3H3,(H,73,74)/b5-4-,8-6-,9-7-,12-10-,13-11-,16-14-,17-15-
InChIKey NVJUPMZQNWDHTL-HLNOYOEOSA-N
Market Analysis Reports
List of Reports Available for Vacidin A
Related Products
2,2-Diethyl-2,3,5,10-tetrahydro-1H-pyraz...  Phenylmethyl 1-Thio-beta-D-Glucopyranosi...  2',3',5'-Trideoxyadenosine  Benzoylarginine Leucinamide  1-Deoxy-1-(Phenyldithio)-.beta.-D-Glucop...  Hippuryl N-Hydroxysuccinimide Ester  1-(3-Sulfopropyl)-2-Vinylpyridinium beta...  Tetramethylammonium Tetrafluoroborate  Fluoro-Trimethyl-Germane  4-Nitrobenzyl Mercaptan S-Sulfate  Technetium-99-Tin-Methylenediphosphonate  1,1'-[Oxybis(Ethane-1,2-Diyloxy)]Bis[Hep...  8-Dodecen-1-ol, acetate, mixt. with 1-do...  2-Methyl-5-Phenyl-3-(3-Sulfopropyl)Benzo...  N-(4-Amino-5-Chloro-2-Hydroxyphenyl)Benz...