Online Database of Chemicals from Around the World

2-Methyl-2-Propenoic Acid 2-Ethylhexyl Ester Polymer With alpha-Fluoro-omega-(2-((2-Methyl-1-Oxo-2-Propenyl)Oxy)Ethyl)Poly(Difluoromethylene) 2-Hydroxyethyl 2-Methyl-2-Propenoate And N-(Hydroxymethyl)-2-Propenamide
[CAS# 68239-43-0]

Identification
Name 2-Methyl-2-Propenoic Acid 2-Ethylhexyl Ester Polymer With alpha-Fluoro-omega-(2-((2-Methyl-1-Oxo-2-Propenyl)Oxy)Ethyl)Poly(Difluoromethylene) 2-Hydroxyethyl 2-Methyl-2-Propenoate And N-(Hydroxymethyl)-2-Propenamide
Synonyms N-(Hydroxymethyl)Prop-2-Enamide; 2-Methylprop-2-Enoic Acid 2-Ethylhexyl Ester; 2-Methylprop-2-Enoic Acid 2-Hydroxyethyl Ester; 2-Methylprop-2-Enoic Acid 3,3,3-Trifluoropropyl Ester; 2-Methylacrylic Acid 2-Ethylhexyl Ester; 2-Methylacrylic Acid 2-Hydroxyethyl Ester
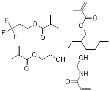
Molecular Structure CAS#: 68239-43-0, 2-Methyl-2-Propenoic Acid 2-Ethylhexyl Ester Polymer With alpha-Fluoro-omega-(2-((2-Methyl-1-Oxo-2-Propenyl)Oxy)Ethyl)Poly(Difluoromethylene) 2-Hydroxyethyl 2-Methyl-2-Propenoate And N-(Hydroxymethyl)-2-Propenamide
Molecular Formula C29H48F3NO9
Molecular Weight 611.69
CAS Registry Number 68239-43-0
SMILES N(C(=O)C=C)CO.C(C(F)(F)F)COC(=O)C(=C)C.C(OC(=O)C(=C)C)C(CCCC)CC.C(OC(=O)C(=C)C)CO
InChI 1S/C12H22O2.C7H9F3O2.C6H10O3.C4H7NO2/c1-5-7-8-11(6-2)9-14-12(13)10(3)4;1-5(2)6(11)12-4-3-7(8,9)10;1-5(2)6(8)9-4-3-7;1-2-4(7)5-3-6/h11H,3,5-9H2,1-2,4H3;1,3-4H2,2H3;7H,1,3-4H2,2H3;2,6H,1,3H2,(H,5,7)
InChIKey JKFYLGMNAMEQJU-UHFFFAOYSA-N
Properties
Boiling point 234.8°C at 760 mmHg (Cal.)
Flash point 91.4°C (Cal.)
Market Analysis Reports
List of Reports Available for 2-Methyl-2-Propenoic Acid 2-Ethylhexyl Ester Polymer With alpha-Fluoro-omega-(2-((2-Methyl-1-Oxo-2-Propenyl)Oxy)Ethyl)Poly(Difluoromethylene) 2-Hydroxyethyl 2-Methyl-2-Propenoate And N-(Hydroxymethyl)-2-Propenamide
Related Products
4-Nitrobenzene-1,2-diamine sulphate  1-[4-Chloro-3-[[4,5-Dihydro-5-Oxo-1-(2,4...  1-[(4-Methylphenyl)Phenylmethyl]-Piperaz...  3,4-Dichloro-alpha-Phenyl-Benzenemethano...  [[2-(6,8-Dichloro-2-Methyl-4-Oxo-Quinazo...  Pepleomycin Sulfate  Tridodecyl Phosphate  1,2-Cyclopentanedicarboxylicacid 1,2-Dim...  N-(4-(Aminosulfonyl)-2-Chlorophenyl)-Ace...  1,4-Dihydro-6-Methyl-4-Oxo-1-Phenyl-3-Py...  Pentaerythritol Dibehenate  4-Amino-6-[2-[5-[(4-Amino-6-Chloro-1,3,5...  1-[5-Methyl-7-(1-Methylethyl)Bicyclo[2.2...  5-Decyn-1-Ol  1-(1,3-Dioxolan-2-Ylmethyl)-Piperazine