Online Database of Chemicals from Around the World

[(2R,3R,4S,5R,6S)-3,4,5-Trihydroxy-6-[(2R,3R,4R,5R)-1,2,4,5-Tetrahydroxy-6-Oxohexan-3-Yl]Oxyoxan-2-Yl]Methyl Dihydrogen Phosphate
[CAS# 72929-47-6]

Suppliers
CAS#: 72929-47-6
Product: [(2R,3R,4S,5R,6S)-3,4,5-Trihydroxy-6-[(2R,3R,4R,5R)-1,2,4,5-Tetrahydroxy-6-Oxohexan-3-Yl]Oxyoxan-2-Yl]Methyl Dihydrogen Phosphate
No suppilers available for the product.
Identification
Name [(2R,3R,4S,5R,6S)-3,4,5-Trihydroxy-6-[(2R,3R,4R,5R)-1,2,4,5-Tetrahydroxy-6-Oxohexan-3-Yl]Oxyoxan-2-Yl]Methyl Dihydrogen Phosphate
Synonyms [(2R,3R,4S,5R,6S)-6-[(1R,2R,3R)-1-[(1R)-1,2-Dihydroxyethyl]-2,3-Dihydroxy-4-Oxo-Butoxy]-3,4,5-Trihydroxy-Tetrahydropyran-2-Yl]Methyl Dihydrogen Phosphate; [(2R,3R,4S,5R,6S)-6-[(1R,2R,3R)-1-[(1R)-1,2-Dihydroxyethyl]-2,3-Dihydroxy-4-Oxobutoxy]-3,4,5-Trihydroxy-2-Tetrahydropyranyl]Methyl Dihydrogen Phosphate; [(2R,3R,4S,5R,6S)-6-[(1R,2R,3R)-1-[(1R)-1,2-Dihydroxyethyl]-2,3-Dihydroxy-4-Keto-Butoxy]-3,4,5-Trihydroxy-Tetrahydropyran-2-Yl]Methyl Dihydrogen Phosphate
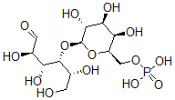
Molecular Structure CAS#: 72929-47-6, [(2R,3R,4S,5R,6S)-3,4,5-Trihydroxy-6-[(2R,3R,4R,5R)-1,2,4,5-Tetrahydroxy-6-Oxohexan-3-Yl]Oxyoxan-2-Yl]Methyl Dihydrogen Phosphate
Molecular Formula C12H23O14P
Molecular Weight 422.28
CAS Registry Number 72929-47-6
SMILES [C@@H](C=O)(O)[C@@H](O)[C@H](O[C@H]1[C@H](O)[C@@H](O)[C@@H](O)[C@H](O1)CO[P](=O)(O)O)[C@H](O)CO
InChI 1S/C12H23O14P/c13-1-4(15)7(17)11(5(16)2-14)26-12-10(20)9(19)8(18)6(25-12)3-24-27(21,22)23/h1,4-12,14-20H,2-3H2,(H2,21,22,23)/t4-,5+,6+,7+,8-,9-,10+,11+,12-/m0/s1
InChIKey QMNITDNTKXPFOP-JVCRWLNRSA-N
Properties
Density 1.823g/cm3 (Cal.)
Boiling point 883.874°C at 760 mmHg (Cal.)
Flash point 488.35°C (Cal.)
Market Analysis Reports
List of Reports Available for [(2R,3R,4S,5R,6S)-3,4,5-Trihydroxy-6-[(2R,3R,4R,5R)-1,2,4,5-Tetrahydroxy-6-Oxohexan-3-Yl]Oxyoxan-2-Yl]Methyl Dihydrogen Phosphate
Related Products
8-Chloro-6-(2-Chlorophenyl)-1-[(4-Chloro...  N-[[5-(Dimethylamino)-1-Naphthyl]Sulphon...  (4aR,6aR,6aS,6bR,8aR,10R,12aS)-10-Hydrox...  1,1-Diethoxytridecane  1-[(2E)-1-Indol-1-Yl-2-(Phenylmethyliden...  1-Phenylethyl 2-Chloroacetate  [(2S)-2-Dec-9-Enoxy-2-Methoxyethyl]Benze...  Methyl 2-(1,3-Benzodioxol-5-Ylmethyliden...  (E)-5-Methylhept-4-Ene-2,3,6-Trione  (6E)-4-Amino-3-(4-Aminophenyl)Diazenyl-6...  (2E)-2-(2-Hydroxy-2-Methylpropylidene)Cy...  4,4'-Bis((5-((5-(Aminosulfonyl)-2-Hydrox...  2-Dodecoxyethyl Octanoate  Prop-2-Enyl Non-2-Ynoate  6-Amino-5-(2-Chloro-4-Nitrophenyl)Diazen...