Online Database of Chemicals from Around the World

(3S,6S,9S,12S,15S)-6,9-Bis(4-Aminobutyl)-3-[(4-Hydroxyphenyl)Methyl]-12-(2-Methylpropyl)-15-(Phenylmethyl)-1,4,7,10,13,16-Hexazacyclooctadecane-2,5,8,11,14,17-Hexone
[CAS# 79525-56-7]

Suppliers
CAS#: 79525-56-7
Product: (3S,6S,9S,12S,15S)-6,9-Bis(4-Aminobutyl)-3-[(4-Hydroxyphenyl)Methyl]-12-(2-Methylpropyl)-15-(Phenylmethyl)-1,4,7,10,13,16-Hexazacyclooctadecane-2,5,8,11,14,17-Hexone
No suppilers available for the product.
Identification
Name (3S,6S,9S,12S,15S)-6,9-Bis(4-Aminobutyl)-3-[(4-Hydroxyphenyl)Methyl]-12-(2-Methylpropyl)-15-(Phenylmethyl)-1,4,7,10,13,16-Hexazacyclooctadecane-2,5,8,11,14,17-Hexone
Synonyms (3S,6S,9S,12S,15S)-6,9-Bis(4-Aminobutyl)-3-[(4-Hydroxyphenyl)Methyl]-12-Isobutyl-15-(Phenylmethyl)-1,4,7,10,13,16-Hexazacyclooctadecane-2,5,8,11,14,17-Hexone; (3S,6S,9S,12S,15S)-6,9-Bis(4-Aminobutyl)-15-(Benzyl)-3-(4-Hydroxybenzyl)-12-Isobutyl-1,4,7,10,13,16-Hexazacyclooctadecane-2,5,8,11,14,17-Triquinone; Lys-Lys-Linked Cyclic Leucine Enkephalin
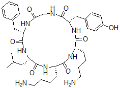
Molecular Structure CAS#: 79525-56-7, (3S,6S,9S,12S,15S)-6,9-Bis(4-Aminobutyl)-3-[(4-Hydroxyphenyl)Methyl]-12-(2-Methylpropyl)-15-(Phenylmethyl)-1,4,7,10,13,16-Hexazacyclooctadecane-2,5,8,11,14,17-Hexone
Molecular Formula C38H56N8O7
Molecular Weight 736.91
CAS Registry Number 79525-56-7
SMILES [C@H]1(NC(=O)[C@@H](NC(=O)CNC(=O)[C@@H](NC(=O)[C@@H](NC(=O)[C@@H](NC1=O)CCCCN)CCCCN)CC2=CC=C(O)C=C2)CC3=CC=CC=C3)CC(C)C
InChI 1S/C38H56N8O7/c1-24(2)20-30-37(52)44-28(12-6-8-18-39)35(50)43-29(13-7-9-19-40)36(51)46-31(22-26-14-16-27(47)17-15-26)34(49)41-23-33(48)42-32(38(53)45-30)21-25-10-4-3-5-11-25/h3-5,10-11,14-17,24,28-32,47H,6-9,12-13,18-23,39-40H2,1-2H3,(H,41,49)(H,42,48)(H,43,50)(H,44,52)(H,45,53)(H,46,51)/t28-,29-,30-,31-,32-/m0/s1
InChIKey IGAGSIVYOPTBPJ-XDIGFQIYSA-N
Properties
Density 1.135g/cm3 (Cal.)
Boiling point 1144.666°C at 760 mmHg (Cal.)
Flash point 646.07°C (Cal.)
Market Analysis Reports
List of Reports Available for (3S,6S,9S,12S,15S)-6,9-Bis(4-Aminobutyl)-3-[(4-Hydroxyphenyl)Methyl]-12-(2-Methylpropyl)-15-(Phenylmethyl)-1,4,7,10,13,16-Hexazacyclooctadecane-2,5,8,11,14,17-Hexone
Related Products
(3S)-3,6-Diamino-N-[(2S,3R)-2-[(1R,2S,3S...  1,1,1-Triphenylpropan-2-One  Chloropentafluoroacetone  (-)-Dihydroisocodeine  3-(4-Azidophenyl)-1-[2,4-Dihydroxy-6-[(2...  4,8-Diamino-1,5-Dihydroxy-2,6-Bis(4-Meth...  Methyl N-Pyridin-4-Ylcarbamate  (2R)-2-Amino-3-(3-Nitropyridin-2-Yl)Disu...  (1R,4aS,4bR)-1,4a-Dimethyl-7-Propan-2-Yl...  (5E,8E,11E)-14,15-Dihydroxyicosa-5,8,11-...  (5E,8E,14E)-11,12-Dihydroxyicosa-5,8,14-...  (5Z,8Z,11Z,14Z)-Icosa-5,8,11,14-Tetraene...  (5E,8E,11E,14E)-19-Hydroxyicosa-5,8,11,1...  [(2R,3S,4S,5R)-5-[5-[(E)-2-Bromoethenyl]...  [(2R,3S,5R)-5-[2,4-Dioxo-5-[(E)-Prop-1-E...